Next: Estimation of the two-loop
Up: Statistical Description of Acoustic
Previous: Rules for writing and
Let us start from (4.18) and
introduce
with
given by (4.14):
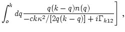
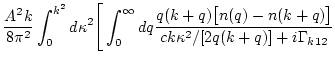
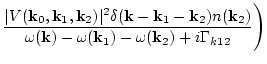
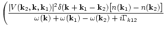
where
 |
(113) |
is ``triad-interaction'' frequency and
is triad
interaction time. One can consider (B1 - B2) as an
integral equation for the damping of wave
and for the frequency
.
First we consider these equations in the limit of weak interaction
where,
, and the main contribution to the first term in
(B1) comes from the region where
 |
(114) |
These are conservation laws for 3-wave confluence processes
. The main contribution for the second term in (B1) comes
from the region
 |
(115) |
These are conservation laws for decays processes
. For weak
interaction one may replace in (4.2) and (4.3)
on
. Than it follows from
(4.2) and (4.3) that
with
directed along
. This fact makes it natural to introduce in integrals (B1)
new variables: scale positive variable
and two-dimensional
vector
such that
 |
(116) |
In the first term of (B1)
 |
(117) |
In the second term
 |
(118) |
For
the denominators in integrals (B1) strongly
depend on
. Indeed:
This allows to neglect
dependence of interaction
and correlation
in numerator of
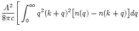
(B1) for estimation. The result is
where
 |
(122) |
is a factor in (2.20) so that for parallel or almost parallel
wavevectors
. After
changing of variables this integral becomes to be more transparent:
One may estimate
from the fact that
our expressions were obtained by expanding in
, therefore
should be at least
.
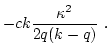
Now let us consider the imaginary and real part of
separately. It is convenient to begin with
:
Here we changed the upper limit of integration:
because the main contribution to the integral comes from the area
. After trivial integration with respect of
one has:
This expression for
corresponds to that given by
the kinetic equation [1] for waves. For further progress it is
necessary to do some assumption about
. Let us assume that
vanishes with growing of
faster than
.
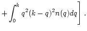
For such
spectra the main contribution to the integral comes from small
. In this case contributions from first and second integrals in
(B14) coincides and may be represented in the form:
 |
|
|
(126) |
In this case contributions from first and second integrals in
(B14) coincides and may be represented in the form:
 |
|
|
(127) |
Next: Estimation of the two-loop
Up: Statistical Description of Acoustic
Previous: Rules for writing and
Dr Yuri V Lvov
2007-01-17