next up previous
Next: Calculation of -details Up: Statistical Description of Acoustic Previous: Conclusion

Rules for writing and reading of diagrams for mass operators

Here we state without proof the set of rules for writing down diagrammatic series:
  1. In order to write down all diagrams for $\Sigma$ and $\Phi $ of 2n order in vertices, one should draw 2n vertices and connect them with each other by lines $n$ and $G$ in all possible ways. Two ends must be left free. If both ends are straight, we shall get a diagram for $\Phi ({\bf k},\omega )$; if one of them is wavy, this will be a diagram for $\Sigma ({\bf k},\omega )$.
  2. The diagrams for $\Phi $ and $\Sigma$ containing closed loops in GF are absent. This follows from the fact that the Wyld's DT appears from glued trees.
  3. There is no mass operator with two wavy ends in DT.
  4. In the diagrams for $\Phi $ (for $\Sigma$) one can pass from every vertex along the $G$ lines to the entrance and to the exit in a single way.
  5. In every diagram for $\Sigma$ there is a single root linking the entrance and exit along the $G$ lines - the backbone of the diagram. The rest $G$ lines of the diagrams may be called the rips.
  6. The diagrams for $\Phi $ contain the basic cross section in which they may be cut in a single way into two parts only at lines $n({\bf
k},\omega)$.
  7. Every $V$ vertex is entered by one arrow and excited by two. The $V^*$ vertex is entered by two arrows and exited by one.

One can show (see [12]) that rules (3-7) follows from (1-2).

The rules of reading diagrams are the follows:

  1. Write down product of DT objects (double correlator, Green function or vertex) (with corresponding arguments) corresponding to each element of the diagram.
  2. Write down delta-functions in 4-momenta for $2n-1$ vertices in such a way, that the sum of entering 4-momenta is equal to the sum of exciting ones. One of vertices (for example the one corresponding to the end of the diagram) does not contain the delta function.
  3. Perform integration along all internal lines of diagram : $d i = d k_i
/(2\pi)^d d\omega_i/(2\pi)$ where $d$ is space dimension.
  4. Then you have to multiply diagram by $(2\pi)^{(d+1)}$.
  5. To multiply diagram by $1/p$ where $p$ is the number of elements in its symmetry group.
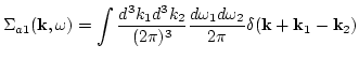
For example diagrams (a1), (a2) and (a3) correspond to the following analytical expressions: q
    $\displaystyle \Sigma_{a1}({\bf
k},\omega) = \int \frac{d^3 k_1 d^3 k_2}{(2\pi)^3} \frac{d\omega_1
d\omega_2}{2\pi} \delta({\bf k}+ {\bf k}_1 - {\bf k}_2 )$  
  $\textstyle \times$ $\displaystyle \delta(\omega+\omega_1-\omega_2)\vert V({\bf k}_2,{\bf k},{\bf
k}_1)\vert^2 G_2 n_1,$ (108)
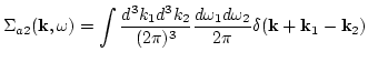
    $\displaystyle \Sigma_{a2}({\bf k},\omega) = \int \frac{d^3 k_1 d^3
k_2}{(2\pi)^3}\frac{d\omega_1 d\omega_2}{2\pi} \delta({\bf k}+ {\bf
k}_1 - {\bf k}_2 )$  
  $\textstyle \times$ $\displaystyle \delta(\omega+\omega_1-\omega_2)\vert V({\bf k}_2,{\bf k},{\bf k}_1)\vert^2
G_1^* n_2,$ (109)
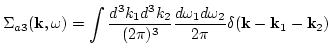
    $\displaystyle \Sigma_{a3}({\bf k},\omega) = \int \frac{d^3 k_1 d^3
k_2}{(2\pi)^3}\frac{d\omega_1 d\omega_2}{2\pi} \delta({\bf k}- {\bf
k}_1 - {\bf k} _2 )$  
  $\textstyle \times$ $\displaystyle \delta(\omega-\omega_1-\omega_2) \vert V({\bf k},{\bf k}_1,{\bf k}_2)\vert^2
G_1 n_2,$ (110)

We defined here the following shorthand notation, $G_j=G({\bf
k}_j,\omega_j); n_i=n_i({\bf k}_i,\omega_i)$ In the same way one can find analytical expressions for $\Phi_a({\bf k},\omega)$:
    $\displaystyle \Phi({\bf k},\omega)=\int \frac{d^3 k_1 d^3
k_2}{(2\pi)^3}\frac{d\omega_1 d\omega_2}{2\pi}[ \frac{1}{2}\vert V({\bf
k},{\bf k}_1,{\bf k}_2)\vert^2$  
  $\textstyle \times$ $\displaystyle n_1 n_2 \delta({\bf
k}-{\bf k}_1-{\bf k}_2) \delta(\omega-\omega_1-\omega_2)$ (111)
  $\textstyle +$ $\displaystyle \vert V({\bf k}_2,{\bf k}_1,{\bf k})\vert^2 n_1 n_2 \delta({\bf k}+{\bf
k}_1-{\bf k}_2) \delta(\omega+\omega_1-\omega_2) ] \ .$  

Analytical expressions for s the 4-th order diagrams (two-loop diagrams) will be shown in Appendix C.
next up previous
Next: Calculation of -details Up: Statistical Description of Acoustic Previous: Conclusion
Dr Yuri V Lvov 2007-01-17