Next: Calculations of .
Up: One-loop approximation
Previous: One-loop approximation
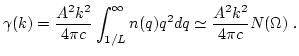
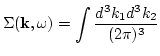
In the one-loop approximation expression for
has the form
 |
(79) |
where
is given by (A1-A3). Our
goal here is to analyze these expressions in one-pole approximation,
by substituting in it ``one-pole''
and
from (4.11) and (4.16). In the resulting
expression one can perform the integration over
analytically.
The result is
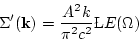
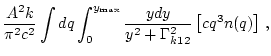
Next we introduce
, with
given by (4.14) and consider (4.18) in the limit
of small
, which allows us to perform analytically
integrations over perpendicular components of wavevectors. The result
for the damping frequency
may be represented in the
following form (for details see Appendix B):
 |
|
|
(81) |
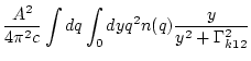
We introduced here cut-off for small
at
, where
is the
size of the box. We also introduced ``the density of the number of
particles''
in the solid angle according to
 |
(82) |
such that the total number of particles
 |
(83) |
After substituting
from (B11), one has the following
estimate for
:
 |
(84) |
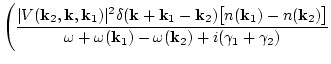
Consider now
. It follows
from (B12) that
where
is the
``triad interaction'' frequency. One may evaluate the integral with
respect to
as
 |
(86) |
After substituting
from (4.22), one has
 |
(87) |
The main contribution to the integral (4.23) over
comes from
the infrared region
. It gives the estimate,
 |
(88) |
where we have defined the density of the wave energy in solid angle as
 |
(89) |
This value relates to
as follows:
 |
(90) |
Equation (4.26) together with the expression (B11) for
may
be written as
 |
(91) |
where
 |
(92) |
is the dimensionless parameter of nonlinearity, the ratio of energy of
acoustic turbulence and the density of thermal energy of media
, where
is the concentration of
atoms.
Equation (4.22) for
may be written
in a similar form
 |
(93) |
One can see that
 |
(94) |
It means that for large enough inertial interval
 |
(95) |
and one may neglect the nonlinear corrections
to
the frequency with respect to the damping of the waves
. That shows that our above calculations of
is
self-consistent. Later we also will take into account only damping
in the expressions for the Green's functions taking
.
Next: Calculations of .
Up: One-loop approximation
Previous: One-loop approximation
Dr Yuri V Lvov
2007-01-17