next up previous
Next: Balance Equation Up: One-loop approximation Previous: Calculations of

Calculations of $\Phi ({\bf k},\omega )$.

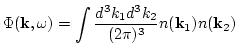
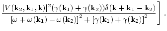
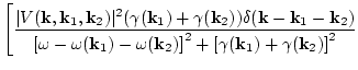
In the one-loop approximation expression for $\Phi ({\bf k},\omega )$ has the form (A4). After substitution of $n({\bf
k},\omega)$ in the one pole approximation (4.16) one may perform analytically integration over frequencies:
    $\displaystyle \Phi({\bf k},\omega)=\int \frac{d^3 k_1 d^3 k_2}{(2\pi)^3}
n({\bf k}_1)n({\bf k}_2)$ (96)
  $\textstyle \times$ $\displaystyle \Bigg[ \frac
{\vert V({\bf k},{\bf k}_1,{\bf k}_2)\vert^2 ( \gamm...
...ega({\bf k}_2)\right]^2 + \left[ \gamma({\bf k}_1)+
\gamma({\bf k}_2)\right]^2}$  
  $\textstyle +$ $\displaystyle \frac {\vert V({\bf k}_2,{\bf
k}_1,{\bf k})\vert^2 ( \gamma({\bf ...
..._2)\right]^2 +
\left[ \gamma({\bf k}_1)+ \gamma({\bf k}_2)\right]^2}
\Bigg] \ .$  

We will analyze this expression in the next section.

Dr Yuri V Lvov 2007-01-17