Next: Conclusion
Up: One-loop approximation
Previous: Calculations of .
Consider the Dyson-Wyld equations (4.6) and (4.7) in the
inertial interval, where one can neglect
in
comparison with
and
in
comparison with
:
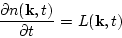
It follows from (4.6) that
 |
|
|
(99) |
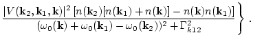
By comparing (4.36) with
(4.37) one may
see that the following combination
 |
(100) |
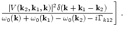
is equal to zero. In particular
 |
(101) |
Together with (4.38) it gives
![\begin{displaymath}
{\rm Im} \int \frac{d\omega}{2\pi}
\left[ \Phi({\bf k},\omeg...
...omega)
- n({\bf k},\omega)\Sigma({\bf k},\omega) \right]=0\ .
\end{displaymath}](img442.png) |
(102) |
Let us compute now the first term in (4.40). By substitution
Eq. (4.34) for
and Eq. (4.11) and
integration over
one has
Next we will perform integration over
in (4.40).
Remember
is analytical function in the upper half plane of
while
has one pole there. Therefore
 |
(104) |
where
is given by (4.15).
This is the justification of our choice
.
Now let us put everything together to obtain
This is the main result of the diagrammatic approach: the balance
equation for stationary in time acoustic turbulence. In
nonstationary case one can get similarly the generalized kinetic
equation in the form
 |
(106) |
where
is given by Eq. (4.43) with correlator
depending on time
. In the limit
this expression turns into well known (cf.
[1]) collision integral for 3-wave kinetic equation
We see that the generalized kinetic equation differs from the well
known collision term in the three wave kinetic equation by replacing
-functions on the corresponding Lorenz function with the width
of
-triad interaction frequency.
Next: Conclusion
Up: One-loop approximation
Previous: Calculations of .
Dr Yuri V Lvov
2007-01-17