Next: Bibliography
Up: Statistical Description of Acoustic
Previous: Calculation of -details
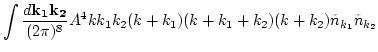
Let us write down analytical expression which correspond to one of the
diagrams (b) in Fig.1(b)
where
are vertices,
We just followed the rules of
DT and integrated over all delta-functions. From now, the analyses
will be parallel to that of appendix B. Let us use (4.16) for
and (4.11) for
. Now we can easily
perform integration over
and
. Now, as it was
done in appendix B, introduce
. Since all interacting wavevectors are almost parallel,
we introduce two-dimensional vectors
and
such that
 |
|
|
(133) |
 |
|
|
(134) |
We use
. Since
, we can expand resonance denominators in (C1)
with respect to
. The integrals will be dominated by
regions, where
. By putting everything together, one gets
Substituting
we see, that indeed, the dominant part comes from the region of small
. We can estimate all these integrals to get
 |
(137) |
where we used the small
cutoff
. Finally
 |
(138) |
and we conclude, that contribution from diagrams of type (b) on
Fig.1(b) is much less, than contribution from one-loop diagrams. But
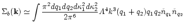
this is not the end of the story. Let us try to estimate
contributions from diagrams of type (e) on Fig.1(b). Following the
same guidelines, we obtain
Let us again introduce
and
as above, and
substituting
we obtain the following
estimation:
 |
(139) |
Therefore we conclude, that contribution from two loop diagrams is
dominated by planar diagrams and of the order of one loop diagrams
contribution.
Next: Bibliography
Up: Statistical Description of Acoustic
Previous: Calculation of -details
Dr Yuri V Lvov
2007-01-17