next up previous
Next: Application to Semiconductor Lasers Up: Differential Kinetic Equation Previous: Solutions and properties of

Numerical Results.

We now investigate numerically the DQKE to gain an intuitive understanding of its properties.

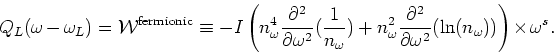
We begin by studying the time independent solutions of (4.9) and solve (3.16) as an initial value problem with ${\cal W}$ given by ${\cal W}^{\rm fermionic}$ (see (4.9)),

\begin{displaymath}
Q_L(\omega -\omega _L)={\cal W}^{\rm fermionic}\equiv -I\lef...
...}{\partial\omega ^2} (\ln
(n_\omega ))}\right)\times\omega^s.
\end{displaymath} (4.7)

We start from $\omega =0.1$ and take the initial conditions to be $n_{\omega =0.1}=f_{\omega =0.1},  n'_{\omega =0.1}=f'_{\omega =0.1}$, where $f_{\omega }$ is a conveniently chosen Fermi-Dirac distribution function $f_\omega =1/(\exp{(7\omega -4)}+1)$. The results are shown on Figure 2a for the range of $10^6 Q_L=0,3,6,9$. For $Q_L=0$ we recover the Fermi-Dirac distribution function $f_\omega $. However, for nonzero $Q$ the distribution deviates from the Fermi-Dirac function, and the bigger the flux, the bigger the deviation. For the same initial conditions, the graph of the number density $n_\omega $ for the positive finite flux distribution lies below that for the Fermi-Dirac distribution. Further, observe that, for the Fermi-Dirac solution, the chemical potential $\mu$ is simply the distance to the point of the inflection of $n_\omega $ and the temperature is the width of the exponential decay region. For finite positive fluxes, the distance to the point of inflection (which we call $\mu_{Q}$) is less than $\mu_{Q=0}=\mu$. Likewise, $T_{Q}$, the width of the $n_\omega $ distribution for a finite flux is less than $T_0=T$. As fluxes become larger, the finite flux equilibrium distribution becomes more and more like a Heavyside function with rapidly decreasing $\mu_{Q}$. This means that $n_\omega $ is very small for all $\omega >\mu_Q$ and thus the system can be pumped in this region without losses due to the Pauli blocking. We exploit this in the next section where the application to semiconductor lasers is considered.

In semiconductor lasers, it is the finite temperature effect of broadening the Fermi-Dirac distribution that contributes to inefficiency. If one could operate at $T=0$, then one could simply choose the chemical potential, related to the total carrier number (see, e.g., [24]), so that the distribution cuts off immediately after the lasing frequency. However, the finite temperature broadens the distribution and means that one has to pump momentum values which play no role in the lasing process. The effect of the finite flux is to make $T$ effectively smaller.

We next solve (3.17) for the steady state solutions in the larger momentum region with ${\cal W}^{\rm fermionic}$ :

\begin{displaymath}{\cal
W}=P_R(1-\omega /\omega _R)={\cal W}^{\rm fermionic}\eq...
...^2}{\partial\omega ^2} (\ln (n_\omega ))}\right)\times\omega^s
\end{displaymath} (4.8)

We start from $\omega =0.3$ with initial conditions $n_{\omega =0.3}=f_{\omega =0.3},  n^\prime_{\omega =0.3}=f^\prime_{\omega =0.3}$. The results are shown on Figure 2b for the range of $10^4P_R=0,3,6,9$. Again, we recover the Fermi-Dirac function for zero flux, and observe a similar deviation from thermodynamical equilibrium for nonzero fluxes, namely the effective chemical potential and temperature diminishes with increasing of the flux value $P_R$.

We then consider the time evolution of the distribution function as given by the DQKE. The fundamental property of the kinetic equation that any distribution function relaxes to its thermodynamical equilibrium value in the absence of forcing (pumping/damping) is also true for the DQKE, as illustrated on Figure 3(a). There an initial distribution function, shown by a thin solid line, relaxes to the FD function, shown by a thick solid line, through several intermediate states shown by dashed lines. Since there is no forcing to the system, we take "fluxless" boundary conditions $P=Q=0$ in (4.10) on the boundaries, so that no particles or energy cross the boundaries. The distribution relaxes to the FD distribution roughly by the time $\tau _{\rm relax}$, which can be estimated as $\omega _{max}^{(2-s)}/(I(n+n^2))$, where $\omega _{max}$ is the frequency where distribution approaches zero value. To check that the final distribution is indeed FD, we calculate $\ln({1/n_\omega -1})$ and verify that it is a linear function. The total particle number $N$ and energy $E$ are conserved in our numerical runs to an accuracy of $10^{-5}$.

We then address the question of what is the steady (equilibrium) solution when the system has some external forcing. To model the forcing, we specify some positive flux of $Q$ on the boundaries, and wait for the distribution to reach a new equilibrium, a hybrid state with a constant flux of $Q$, a zero $P$ flux, energy $E$ and particle number $N$ (see Figure 3(b)). The more the flux of number of particles is, the more the final distribution is bent in the manner of Figure 2 and according to (4.12). The total particle number $N$ and energy $E$ are the same for all curves on Figure 3(b).


next up previous
Next: Application to Semiconductor Lasers Up: Differential Kinetic Equation Previous: Solutions and properties of
Dr Yuri V Lvov 2007-01-31