next up previous
Next: Conclusions Up: text Previous: Numerical Results.

Application to Semiconductor Lasers

We will now investigate the relevance of finite flux solutions in the context of semiconductor lasers. In many ways, semiconductor lasers are similar to two level lasers in that the coherent light output is associated with the in-phase transitions of an electron from a higher to lower energy state. In semiconductors, the lower energy state is the valence band, from which sea electrons are removed leaving behind positively charged holes. The higher energy state is the conduction band. The quantum of energy released corresponds to an excited electron in the conduction band combining with a hole directly below (because the emitted photon has negligible momentum) in the lower band.

However, there are several important ways in which the semiconductor laser differs from and is more complicated than the traditional two-level laser model. First, in order for there to be lasing, there must be both an electron and hole available at the same momentum (and spin) value whereas, in the traditional two level laser, the ground state is always available for an excited electron. As a result, the excitation levels of both electrons and holes must be above a certain level. Second, there is a continuum of transition energies parameterized by the electron momentum ${\bf k}$ and the laser output is a weighted sum of contributions from polarizations corresponding to electron-hole pairs at each momentum value. In this feature, the semiconductor laser resembles an inhomogeneosly broadened two level laser. Third, electrons and holes interact with each other via Coulomb forces. Although this interaction is screened by the presence of many electrons and holes, it is nonetheless sufficiently strong to lead to a nonlinear coupling between electrons and holes at different momenta. It is this effect that gives rise to the coupling coefficient $T_{k k_1,k_2
k_3}$ of the earlier sections of this paper. The net effect of these collisions is a redistribution of carriers (the common name for both electrons and holes) across the momentum spectrum. In fact it is the fastest ($\approx 100$ fs.) process (for electric field pulses of duration greater than picoseconds) and because of this, the gas of carriers essentially relaxes to a distribution corresponding to an equilibrium of this collision process. This equilibrium state is commonly taken to be that of thermodynamic equilibrium for fermion gases, the Fermi-Dirac distribution characterized by two parameters, the chemical potential $\mu$ and temperature $T$, slightly modified by the presence of broadband pumping and damping. However, as we have shown, in situations where there is applied forcing and damping and in particular where these processes take place in separate regions of momentum space, it is the finite flux equilibrium which is more relevant.

In the semiconductor laser the applied forcing is usually the electrical pumping process. The low-energy sink is the actual lasing process, i.e. stimulated emission at the laser frequency. The second sink has contributions from a variety of processes. One contribution is due to that fact that some of the charge carriers with high kinetic energies can leave the optically active region and, therefore, contribute to the electrial pumping current without contributing to the light amplification. Other processes acting as sinks are less well localized at high energies. They are distributed over an extended range of momentum values. Examples are non-radiative recombination of electron-hole pairs mediated by impurities, dislocations, interface roughness, etc. In addition, Auger processes contribute significantly to the damping (i.e., loss of charge carriers).

Although it is beyond the scope of this paper, we should like to mention that, for a complete description of relaxation and thermalization processes in semiconductor lasers, one would also have to take electron-phonon scattering into consideration. This interaction insures that the temperature of the electron-hole plasma is driven towards the lattice temperature. The main electron-phonon interactions involve longitudinal optical and acoustic phonons. The former couple via the Fröhlich interaction to the charge carriers and typical thermalization times are almost as short as those due to carrier-carrier interaction in semiconductor lasers (within a factor of about 5). Much slower (three to four orders of magnitude) is the deformation potential coupling with acoustic phonons. Making the assumption that the electron-electron interaction dominates over electron-phonon interactions, we proceed now and investigate the role of equilibrium distributions other than Fermi-Dirac distributions in laser performance. As we have shown in previous sections, there are finite flux equilibria, for which there is a finite and constant flux of carriers and energy across a given spectral window. It is the aim of this work to suggest that these finite flux equilibria are more relevant to situations in which energy and carriers are added in one region of the spectrum, redistributed via collision processes to another region where they are absorbed. Moreover, it may be advantageous to pump the laser in this way because such a strategy may partially overcome the deleterious effects of Pauli blocking. In conventional diode lasers, pumping is a process in which charge carriers are injected into the depletion layer region in a p-n or p-i-n structure (see, for example, [25]). If the active layer is bulk-like, this process is based on a regular drift-diffusion current, whereas in quantum-well lasers there is the additional process of carrier capture into the quantum well by means of inelastic scattering processes. In the following we restrict ourselves to the simplest model for injection pumping that neglects the intrinsically anisotropic aspect of injection pumping but includes the basic features of Pauli blocking effects in the pump process [24]. Within this model, the rate of change of the carrier distribution is proportional to $\Lambda _k (1 - n_k)$, where the pump coefficient $\Lambda _k$ is taken as a Fermi function with a given density modeling the incoming equilibrated carriers, $n_k$ is the actual carrier distribution in the active region, and $(1 - n_k)$ takes into account the Pauli blocking effects. This means that only non-occupied states can be filled by the pump current. Since $\Lambda _k$ is an function that extends over a large range of k-values, we call this pump model ``broad band pumping.'' In contrast to broad band pumping one can also pump a laser locally in momentum space. However, usually such a local pump process is narrow-band optical pumping, but this is not commonly used to pump semiconductor lasers. There are, however, also electrical pumping schemes available, which are based on tunneling processes, and which, in principle, can allow for selective and localized pumping and damping (see, e.g., [26]).

In the following we will examine the laser process and discuss, in particular, the influence of the pumping process and its relation to the equilibrium distribution function in stationary laser operation. We base our numerical solutions on a greatly simplified laser model. We assume that the distribution functions for electrons and holes are identical (in other words, we assume electrons and holes to have identical effective masses); we model the cavity losses by a simple phenomenological loss term in the propagation equation for the light field amplitude; we assume ideal single-mode operation; we make the rotating wave approximation in the equation for the distribution functions and the optical polarization function $p_k$; we neglect all electron-hole Coulomb correlations (the so-called Coulomb enhancement, see, e.g., [24] ); we neglect bandgap energy renormalization; and we neglect, as mentioned above, electron-phonon interaction. In spite of the approximations made, our model still captures the basic processes in a semiconductor laser. The equations of motion (a form of the semiconductor Maxwell-Bloch equations, see, e.g., [24],[27]) read:

$\displaystyle \frac{\partial e}{\partial t}$ $\textstyle =$ $\displaystyle i \frac{\Omega }{2\epsilon _0} \frac{V}{(2\pi)^d}
\int\mu_k p_k d{\bf k} - \gamma _E e ,$ (5.9)
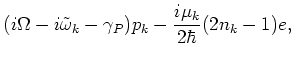
$\displaystyle \frac{\partial p_k}{\partial t}$ $\textstyle =$ $\displaystyle (i\Omega -i\tilde\omega _k-\gamma _P)p_k - \frac{i
\mu_k}{2\hbar}(2n_k-1)e,$ (5.10)
$\displaystyle \frac{\partial n_k}{\partial t}$ $\textstyle =$ $\displaystyle \Lambda _k(1-n_k) -\gamma _k n_k +\left( \frac{\partial n_k}{\par...
...)_{\rm collision} -\frac{i}{2\hbar} \left( \mu_k p_k e^*-\mu _k
p_k^* e\right).$ (5.11)

Here $e(t)$ and $p_k(t)$ are the electric field and polarization (at momentum $\bf k$) envelopes of the carrier wave $\exp{(-i\Omega t + i K z)}$ where $\Omega $ is the cavity frequency (we assume single mode operation only) and $n_k$ is the distribution function for electrons and holes. The constants $\gamma _E=6\times
10^{10} /sec$, $\gamma _P=10^{13}/sec$ model electric field losses and polarization decay (dephasing), $\epsilon _0$ is the dielectric constant, $\mu_k$ is the weighting accorded to different $\bf k$ momentum values and is modeled by $\mu_k=\mu_{k=0}/(1+\epsilon _k/\epsilon _{\rm gap}), \
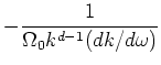
\mu_{k=o}=3/10^{10} M e$, $e$ is the electron charge, $\gamma _k=10^{10}/sec$ represent nonradiative carrier damping. In (5.17), ${\Lambda _k}$ is the pumping due to the injection current (taken to be between $0.001 ps^{-1}$ and $0.1 ps^{-1}$) and in (5.16) $\hbar\tilde\omega _k=\epsilon _{\rm gap}+\epsilon _{e,k}+\epsilon _{h,k}$. We further assume that all fields are isotropic and make a convenient transformation from $k$ ($=\vert{\bf k}\vert$) to $\omega $ via the dispersion relation $\omega =\omega ({\bf k})$ defining the carrier density $n_\omega =n({\bf k}(\omega ))$ and approximate the collision term $\left(
\frac{\partial n_k}{\partial t}\right)_{\rm collision}= \left(
\frac{\partial n_{k(\omega )}}{\partial t}\right)_{\rm collision}$ by the differential kinetic expression (4.7):
$\displaystyle {\left(
\frac{\partial n_{k(\omega )}}{\partial t}\right)_{\rm collision} }$ $\textstyle =$ $\displaystyle -
\frac{1}{\Omega _0 k^{d-1} (dk/d\omega )}$  
    $\displaystyle \times\frac{\partial^2}{\partial\omega ^2}
\left[\left( { n_\omeg...
...^2}{\partial\omega ^2}(\ln (n_\omega ))} \right)\times
I\times\omega ^s\right].$  

We choose the value of the constant $I$ to ensure that a solution of (5.18) relaxes in a time of 100 fs to its equilibrium value and $s$ is taken to be $7$.

We now compare the laser efficiencies in two numerical experiments in which we arrange to: (i) Pump broadly a across wide range of momenta, so that the effective carrier distribution equilibrium has zero (or small4) flux. We take the pump profile to be given by the Fermi-Dirac distribution. (ii) Pump carriers and energy into a narrow band of frequencies about $\omega _0$ and simulate this by specifying carrier and energy flux rates $Q_L$ and $P_L=-\omega _L Q_L$ at the boundary $\omega =\omega _0$. $P_L$ is chosen so that the energy absorbed by the laser is consistent with the number of carriers absorbed there. $\omega =\omega _L<\omega _0$ is the frequency at which the system lases. We compare only cases in which the total amount of energy supplied is the same. Because of the distribution of the supply, the particle number in the broad band pumping has to be higher.

In the first numerical experiment, we show that for a very small amount of pumping the laser operates for the narrow band pumping, while it fails to operate in the broad band pumping case (i.e. the threshold pumping value for narrow band pumping is much lower than in the broad band case). The carriers supplied through the pumping process get totally absorbed by the global damping $-\gamma _k n_k$ in the broad band pumping case. There no lasing occurs. In the local band pumping case, for the same amount of energy and lower amount of particle supplies, the laser operates. This is the qualitative difference between two cases.

The results of this numerical experiment are presented in Figure 4. The narrow-band pumped laser switches on and generates a nonzero output power. We pump in the narrow region around $\omega _0\simeq 200 {\rm
meV}$ and we model this by specifying the boundary conditions at $\omega _0$ to correspond to carrier and energy flux rates $Q_L$ and $P_L=-\omega _L Q_L$ respectively. The initial value of the distribution function (shown by a thin line), taken to be just below the lasing threshold, builds up because of the influx of particles and energy from the right boundary (dashed lines) until the laser switches on. The final (steady) distribution function is shown by a thick solid line and corresponds to a flux of particles and energy from the right boundary (where we add particles and energy) to the left boundary, where the system lases (Figure 4a). The output power as a function of time is also shown (Figure 4b). Time is measured in units of relaxation times $\tau _{\rm relax}=100fs$. In the contrast, the broad-band pumped laser fails to switch on for such weak pumping because of pumping inefficiency due to Pauli blocking.

We then increase the level of pumping, to a point where the laser turns on for both the broad band and narrow band pumping cases, and examine the output power in both cases. It turns out that for the same amount of energy pumped5, and for almost the same amount of carriers pumped the output power in the narrow band case is significantly higher than in the broad band case. The results are presented in Figure 5. We first pump broadly, so that the effective carrier distribution has (almost) zero flux. The initial distribution function (thin line, Figure 5a) builds up because of a global pumping (dashed lines) until the laser switches on. The final (steady) distribution function is shown by the thick solid line. The output power as a function of time is also shown (Figure 5b).

If we pump in the narrow region around $\omega _0\simeq 200 {\rm
meV}$ and we model this by specifying the carrier and energy flux rates $Q_L$ and $P_L=-\omega _L Q_L$, then the initial distribution function (thin line) builds up because of an influx of particles and energy from the right boundary (dashed lines) until the laser switches on. The final (steady) distribution function is shown by a thick solid line and corresponds to a flux of particles and energy from the right boundary (where we add particles and energy) to the left boundary, where the system lases (Figure 5c). The output power as a function of time is also shown (Figure 5d).

We observe that the output power is an order of magnitude bigger in the case of narrow-band pumping for the same amount of energy influx, at least in our model. This can be explained qualitatively by noting that, in the case of broad-band pumping, most of the particles are injected at momenta where the distribution function is roughly between 1/2 and 1 (the condition necessary for lasing) and thus Pauli blocking is significant. In contrast, when one pumps at high momentum values, where there are almost no particles, Pauli blocking is negligible, so that for the same amount of pumping, more carriers are able to reach active zone of the laser and contribute to inversion.

These results certainly suggest that the possibility of using narrow band pumping and the resulting finite flux equilibrium of the QKE is an option which is worth exploring further.


next up previous
Next: Conclusions Up: text Previous: Numerical Results.
Dr Yuri V Lvov 2007-01-31