next up previous
Next: Solutions and properties of Up: Differential Kinetic Equation Previous: Differential Kinetic Equation

Derivation of Differential Quantum Kinetic Equation

To simplify our analysis, we use an approximation to the kinetic equation known as the differential approximation (see, e.g., [16],[17],[18]). The differential quantum kinetic equation (DQKE) gives qualitatively correct behavior in general, but is strictly valid only when the particle and energy transfer happens primarily between neighbors in momentum space. It is easy to verify that it has a four-parameter-family of a steady (equilibrium) solutions and it is easy to identify two of these parameters as the flux of particle number and energy respectively and the other two as temperature and chemical potential. The analytical expressions for the fluxes can be calculated so that, for any given distribution, the corresponding fluxes may be easily computed numerically. The steady (equilibrium) solutions can be found analytically in various limits. The DQKE is much more suitable for numerical experiments than the full collision integral, simply because it is easier and faster to compute derivatives than integrals of the collision type.

We now demonstrate the derivation of the differential approximation in the fermion case. This result is new. The results for the cases of classical waves and bosonic systems are given in (4.9). Assume that $S_{\omega \omega _1 \omega _2 \omega _3}$ is dominated by its contribution from the region $\omega \simeq\omega _1\simeq\omega _2\simeq\omega _3$. We call such a coupling coefficient ``strongly diagonal''. Then obviously the integrand of the QKE deviates significantly from zero in the same region. The first derivation of the differential kinetic equation proceeds as follows. Multiply both sides of (3.6) by a sufficiently smooth function $\Phi (\omega )$ and integrate with respect to $\omega $:

$\displaystyle \int \dot N_\omega \Phi (\omega )d\omega =$   $\displaystyle \int\int\int {\cal
K}(\omega ,\omega _1,\omega _2,\omega _3)$  
    $\displaystyle \times S_{\omega ,\omega _1,\omega _2,\omega _3}
\delta (\omega +...
...a _1-\omega _2-\omega _3) \Phi (\omega )d \omega d\omega _1d\omega _2d\omega _3$  

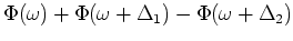
Symmetrise the RHS of Eqn. (4.1) to get
$\displaystyle \int \dot N_\omega \Phi (\omega )d\omega =
\int\int\int
{\cal K}(...
... ,\omega _1,\omega _2,\omega _3}
\delta (\omega +\omega _1-\omega _2-\omega _3)$      
$\displaystyle \times\frac{1}{4}\left(\Phi (\omega )+
\Phi (\omega _1)-\Phi (\omega _2)-\Phi (\omega _3)\right)
d \omega d\omega _1d\omega _2d\omega _3$     (4.1)

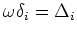
To do this we use the symmetries of the kernel of collision integral responsible for particle number and energy conservation. Now make a change of variables $\omega _i=\omega +\Delta _i,  i=1,2,3$ and expand $\Phi$ in the Taylor series with respect to $\Delta _i$ around $\omega $. The first nonzero term in the expansion contains the second derivative $\Phi ''(\omega )$:
$\displaystyle \Phi (\omega )+\Phi (\omega +\Delta _1)-\Phi (\omega +\Delta _2)$ $\textstyle -$ $\displaystyle \Phi (\omega +\Delta _1-\Delta _2)$  
    $\displaystyle =
(\Delta _1-\Delta _2)\Delta _2\Phi ''(\omega ) +O(\Delta ^2)$  
      (4.2)

We also expand $n_{\omega _i}=n_{\omega }+\Delta _i n_{\omega }'+\Delta _i^2/2 n''_{\omega }$ in the kernel ${\cal K^{\rm fermionic}}(\omega ,\omega _1,\omega _2,\omega _3)$ of the kinetic equation,
$\displaystyle {\cal K^{\rm
fermionic}}(\omega ,\omega +\Delta _1,\omega +\Delta _2,\omega +\Delta _1-\Delta _2)$      
$\displaystyle =(\Delta _1-\Delta _2)\Delta _2
(n_\omega '^2(1-2n_\omega )+n_\omega n''_\omega (n_\omega -1))$      

We then substitute (4.3) and (4.4) to (4.2), integrate by parts the $\Phi ''(\omega )$ term to get
$\displaystyle \int
d \omega \Phi (\omega )[{\dot{ N_\omega }}$ $\textstyle -$ $\displaystyle \frac{\partial^2}{\partial\omega^2}
(n_{\omega }'^2(1-2n_\omega )+n_\omega n{''}_\omega (n_\omega -1))$  
    $\displaystyle \times\int d \Delta _1 d
\Delta _2 S_{\omega ,\omega +\Delta _1,\omega +\Delta _2,\omega +\Delta _1-\Delta _2}(\Delta _2(\Delta _1-\Delta _2))^2]=0$  

Using the arbitrariness of $\Phi$ we finally get
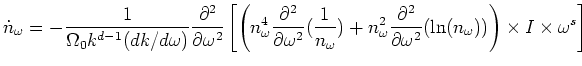
$\displaystyle \dot n_\omega = -
\frac{1}{\Omega _0 k^{d-1} (dk/d\omega )}
\frac...
...omega +\Delta _1-\Delta _2}(\Delta _2(\Delta _1-\Delta _2))^2
\right]\nonumber.$      

Finally, we assume that $S_{\omega \omega _1 \omega _2 \omega _3}$ is a homogeneous function of its arguments of degree $\gamma $:
\begin{displaymath}
S_{\epsilon \omega ,\epsilon \omega _1,\epsilon \omega _2,\e...
..._3}=\epsilon ^\gamma S_{\omega \omega _1 \omega _2 \omega _3}.
\end{displaymath} (4.3)

We define $\omega \delta _i=\Delta _i$, and rewrite the DQKE as
$\displaystyle \dot n_\omega = - \frac{1}{\Omega _0
k^{d-1} (dk/d\omega )} \frac...
...l^2}{\partial\omega ^2}(\ln (n_\omega ))} \right)\times
I\times\omega ^s\right]$     (4.4)

where $I$ is the interaction strength

\begin{displaymath}I = {\frac{1}{4}\int d \delta _1 d \delta _2
S_{1,1+\delta _1...
... _2,1+\delta _1-\delta _2}(\delta _2(\delta _1-\delta _2))^2 },\end{displaymath}

and $s=\gamma +6.$

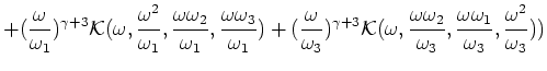
An alternative derivation of the DQKE can be given by applying the Zakharov transformation (see, e.g., [23]) directly to the QKE. The Zakharov transformation is a conformal change of variables which reveals the symmetry of original collision integral. It transforms certain regions of the integration domain and, in the classical case, makes the transformed collision integral have a zero integrand for certain power law distributions. The Zakharov-transformed KE takes the form

$\displaystyle \dot n_\omega =\frac{1}{\Omega _0 k^{d-1} (dk/d\omega )}\times
\f...
... _3}{\omega _2},\frac{\omega ^2}{\omega _2},\frac{\omega \omega _1}{\omega _2})$      
$\displaystyle +(\frac{\omega }{\omega _1})^{\gamma +3} {\cal K}(\omega ,\frac{\...
...2}{\omega _3}, \frac{\omega \omega _1}{\omega _3},\frac{\omega ^2}{\omega _3}))$      
$\displaystyle \times S_{\omega \omega _1 \omega _2 \omega _3}\delta (\omega +\omega _1-\omega _2-\omega _3) d\omega _1d\omega _2d\omega _3$      

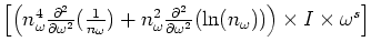
We then expand the RHS of the above equation in powers of $\Delta 's$. The first nonvanishing term is of order $\Delta ^4$ and can be represented as second order derivative with respect to $\omega $ of $\left[\left( { n_\omega ^4
\frac{\partial^2}{\partial\omega ^2}(\frac{1}{n_\ome...
...l^2}{\partial\omega ^2}(\ln (n_\omega ))} \right)\times
I\times\omega ^s\right]$. The resulting DQKE is given in (4.7).


next up previous
Next: Solutions and properties of Up: Differential Kinetic Equation Previous: Differential Kinetic Equation
Dr Yuri V Lvov 2007-01-31