next up previous
Next: Numerical Results. Up: Differential Kinetic Equation Previous: Derivation of Differential Quantum

Solutions and properties of the DQKE

Let us now rewrite the DQKE in the form:
$\displaystyle \dot N_\omega$ $\textstyle =$ $\displaystyle \frac{\partial^2}{\partial \omega ^2} {\cal W}[n_\omega ],$  
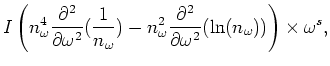
$\displaystyle {\cal W}^{\rm
fermionic} [n_\omega ]$ $\textstyle =$ $\displaystyle -I\left( { n_\omega ^4
\frac{\partial^2}{\partial\omega ^2}(\frac...
...^2
\frac{\partial^2}{\partial\omega ^2}(\ln (n_\omega ))}\right)\times\omega^s,$  
$\displaystyle {\cal W}^{\rm bosonic} [n_\omega ]$ $\textstyle =$ $\displaystyle I\left( { n_\omega ^4
\frac{\partial^2}{\partial\omega ^2}(\frac{...
...^2
\frac{\partial^2}{\partial\omega ^2}(\ln (n_\omega ))}\right)\times\omega^s,$  
$\displaystyle {\cal W}^{\rm classical} [n_\omega ]$ $\textstyle =$ $\displaystyle I \left( { n_\omega ^4
\frac{\partial^2}{\partial\omega ^2} (\frac{1}{n_\omega })}
\right)\times\omega^s.$  

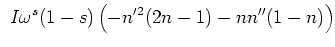
We can now use (3.11) to calculate the fluxes $P$ and $Q$ in terms of $n_\omega $ and its derivatives. We concentrate on the fermionic case. There,
$\displaystyle Q=\frac{\partial {\cal W}}{\partial\omega }$ $\textstyle =$ $\displaystyle I s
\omega ^{s-1}\left(-n'^2(2n-1)-n n''(1-n)\right)$  
    $\displaystyle    + I
\omega ^s\left(-2n'^3+n'n''(1-2n)+n n'''(n-1) \right)$  
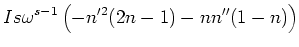
$\displaystyle P=\left({\cal{W}}-\omega \frac{\partial{\cal W}}{\partial \omega }\right)$ $\textstyle =$ $\displaystyle  I
\omega ^s(1-s)\left(-n'^2(2n-1)-n n''(1-n)\right)$  
    $\displaystyle    -I \omega ^{s+1}
\left(-2n'^3+n'n''(1-2n)+n n'''(n-1) \right).$  

Let us make a change of variables $n=1/(G+1)$ and $n=1/(e^m+1)$. $n, G, m$ are functions of $\omega $ and $t$, ``dot'' is used to denote differentiation with respect to time, and ``prime'' with respect to $\omega $. Then
$\displaystyle \dot G$ $\textstyle =$ $\displaystyle (1+G)^2 \frac{I}{\Omega _0 k^{d-1} (dk/d\omega )}
\frac{\partial^2}{\partial \omega ^2}\left(\omega ^s\frac{G'^2-G G''}{(1+G)^4}
\right)$  
$\displaystyle {\rm or}                  $      
$\displaystyle \dot m_\omega$ $\textstyle =$ $\displaystyle - \frac{I}{\Omega _0 k^{d-1} (dk/d\omega )} \cosh^2 (\frac{m}{2})
\frac{\partial^2}{\partial\omega ^2}\omega ^s \frac{m''}{4 \cosh^4(\frac{m}{2})}$ (4.5)

Since the stationary DQKE is a fourth order ODE, its solutions will have four free parameters. Indeed, assume a steady (equilibrium) state and integrate (4.9,4.11) twice to get
$\displaystyle {\cal
W}[n_\omega ]$ $\textstyle =$ $\displaystyle Q \omega + P,$  
$\displaystyle {\rm or}                  $      
$\displaystyle G$ $\textstyle =$ $\displaystyle \exp{(-\frac{\partial^{-2}}{\partial \omega ^2}
\frac{(Q\omega +P)(G+1)^4}{I\omega ^s G^2})},$  
$\displaystyle {\rm or}                  $      
$\displaystyle m''&=$ $\textstyle \frac{Q \omega + P}{I\omega ^s}\cosh
^4(\frac{m}{2}),$   (4.6)

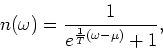
where $Q$ and $P$ are fluxes of particle number and energy. For $P=Q=0$, (4.12) trivially gives

\begin{displaymath}n(\omega )=\frac{1}{e^{\frac{1}{T}( \omega -\mu)}+1},\end{displaymath}

the Fermi-Dirac distribution function. Therefore we observe that the Fermi-Dirac distribution function corresponds to a zero flux solution of the kinetic equation, consistent with our findings of the previous section.


next up previous
Next: Numerical Results. Up: Differential Kinetic Equation Previous: Derivation of Differential Quantum
Dr Yuri V Lvov 2007-01-31