Next: Effective four-wave Hamiltonian
Up: Five-wave interaction on the
Previous: Conformal canonical variables
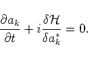
One can introduce new variable
as
Then
Now one can expand
in powers of
and
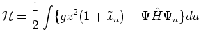
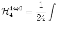
The Hamiltonian of the system is
Now
can be expanded as follow
 |
|
|
(3.1) |
here
Let's introduce the Fourier transform:
After simple, but a little bit tedious calculations one
can find
Here
,
,
and
are the functions symmetric inside of
upper and lower groups of indices. Namely
The expression for
and
are given in the Appendix A.
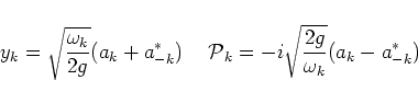
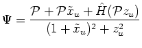
It is convenient to introduce a normal complex variable
which satisfies the equation of motion
here
-is the dispersion law for
the gravity waves.
In the normal variable
second order term in the Hamiltonian
acquires the form:
The third order term is:
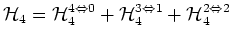
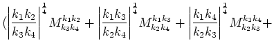
Fourth order term in the Hamiltonian consists of three terms:
describing different types of the wave-wave interactions.
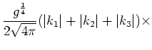
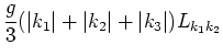
The term corresponding to
interaction has a form:
where
is:
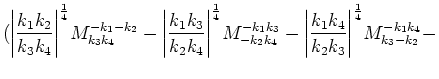
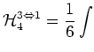
Term corresponding to
interaction has a form:
where
:
Term corresponding to
interaction has a form:
where
:
Among the different terms of the fifth order we consider only the term,
corresponding to the process (1.6):
where
Next: Effective four-wave Hamiltonian
Up: Five-wave interaction on the
Previous: Conformal canonical variables
Dr Yuri V Lvov
2007-01-17