next up previous
Next: The High Frequency Limit Up: A Hamiltonian Formulation for Previous: Nonlinear Internal Waves in


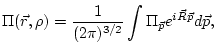
Weak turbulence theory

In this section, we apply the formalism of wave turbulence theory to derive a kinetic equation, describing the time evolution of the energy spectrum of internal waves. In order to do this, we need to assume that the waves are weakly nonlinear perturbations of a background state. In principle, we could adopt for this state an arbitrary background distribution of (layered) potential vorticity, vertical shear and stratification. To make the derivation clear, however, we focus here on the case with zero shear and zero potential vorticity, and a stratification profile with constant buoyancy frequency. Even though the mechanics for deriving the kinetic equation in the more general setting are entirely similar (though more cumbersome), the tools at our disposal for finding relevant exact solutions to these equations, are only applicable to the case with the simplest background.

To leading order in the perturbation, we obtain linear waves, with amplitudes modulated by the nonlinear interactions. These linear waves have, in general, a complex vertical structure (they are eigenfunctions of a differential eigenvalue problem), but reduce, in our case, to sines and cosines [33].

Let us now take ([*]) and rewrite it in dimensional form:

\begin{displaymath}
{\cal H}= \int \left[ \frac{1}{2} \Pi \,
\left\vert\nabla...
...ac{\Pi-\Pi_0}{\rho_1} \, d\rho_1\right\vert^2
\right] \, .
\end{displaymath} (29)

Here $ f $ is the Coriolis parameter, $g$ is the acceleration due to gravity. Note that

\begin{displaymath}[\Pi]={\rm Length}, \ \ \ \ [\phi]=\frac{\rm
Length^2}{Time}.\end{displaymath}

The potential vorticity is, in dimensional form,

\begin{displaymath}q = \frac{f + v_x - u_y}{\Pi}. \end{displaymath}

In the calculations that follow, we shall consider flows which are perturbations of a state at rest, stratified but without vorticity. When this is the case, $v_x - u_y$ is zero to leading order, and we have the following relation between the potential vorticity profile $q_0$ and the stratification profile $\Pi_0$:
\begin{displaymath}
q_0(\rho) = \frac{f}{\Pi_0(\rho)} \, .
\end{displaymath} (30)

Moreover, the definition of $\Pi$ implies that
\begin{displaymath}
\Pi_0 = -\frac{g}{N^2} \, ,
\end{displaymath} (31)

where $N(\rho)$ is the buoyancy frequency, which we shall consider here to be a constant.

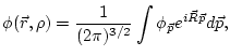
For the subsequent calculations it will be convenient to decompose the potential $\Pi$ into its equilibrium value and its deviation from it. Therefore let us redefine

\begin{displaymath}\Pi \to \Pi_0+\Pi \, . \end{displaymath}

Then the Hamiltonian takes the following form:
\begin{displaymath}
{\cal H}= \int d {\vec r} d \rho \left[ \frac{1}{2} \left( ...
...o} \frac{\Pi}{\rho_1} \, d\rho_1\right\vert^2
\right] \, .
\end{displaymath} (32)

It can be represented as a sum of a quadratic and a cubic part:

$\displaystyle {\cal H}= {\cal H}_{\rm linear} +{\cal H}_{\rm nonlinear},$      
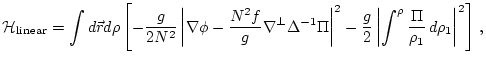
$\displaystyle {\cal H}_{\rm linear}=
\int d {\vec r} d \rho
\left[ -\frac{g}{2 ...
...}
\left\vert\int^{\rho} \frac{\Pi}{\rho_1} \, d\rho_1\right\vert^2 \right] \, ,$      
$\displaystyle {\cal H}_{\rm nonlinear} = \frac{1}{2} \int d {\vec r} d \rho
\Pi...
...t\vert\nabla
\phi-\frac{N^2 f }{g}\nabla^{{\perp}}\Delta^{-1} \Pi \right\vert^2$     (33)

Let us use the Fourier transformation:

$\displaystyle \Pi({\vec{r}},\rho) = \frac{1}{(2 \pi)^{3/2}}\int \Pi_{\vec p} e^{ i
{\vec R} {\vec p}} d {\vec p},$      
$\displaystyle \phi({ \vec r},\rho) =
\frac{1}{(2 \pi)^{3/2}}\int
\phi_{\vec p} e^{ i {\vec R} {\vec p}} d
{\vec p},$      
$\displaystyle {\vec p}=
( {\vec{k}},m), \ \
{\vec R}=( {\vec{r}},\rho) .$      

Note that the operator $\nabla^{{\perp}}\Delta^{-1}$ has a simple representation in Fourier space:

\begin{displaymath}\nabla^{{\perp}}\Delta^{-1} \Pi({\vec R}) =
-\frac{i}{(2\pi)^...
...vec R} }\Pi_{\vec p}, \ \ \ {\vec k^{{\perp}}} =
(-k_y,k_x) \ .\end{displaymath}

Since in the ocean, $\rho$ deviates from its equilibrium value $\rho_0$ by no more then 3%, it is natural to make the Boussinesq approximation, replacing the density by a reference value $\rho_0$:

\begin{displaymath}\frac{g}{2}\left\vert \int^{\rho} \frac{\Pi}{\rho_1}\, d \rho...
... \frac{g}{2\rho_0}\left\vert\int^{\rho} \Pi d \rho \right\vert.\end{displaymath}

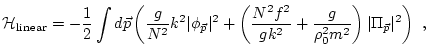
Then
$\displaystyle {\cal H}_{\rm linear} = -\frac{1}{2}\int d {\vec p} \left( \frac{...
...f ^2}{g k^2}+ \frac{g}{\rho_0^2
m^2} \right)\vert\Pi_{\vec p}\vert^2 \right)\ ,$      
$\displaystyle {\cal H}_{\rm
nonlinear} = \frac{1}{2}\int d {\vec p}_1 d {\vec p...
...ec k}_3}{k_2^2
k_3^2}\Pi_{{\vec p}_1}\Pi_{{\vec p}_2}\Pi_{{\vec p}_3} - \right.$      
$\displaystyle \left.
2 \frac{N^2 f
}{g}\frac{{\vec k}_2\cdot{\vec k}_3^{{\perp}}}{k_3^2}\Pi_{{\vec p}_1}\Phi_{{\vec p}_2}\Pi_{{\vec p}_3}\right)\,
.$      

From now on it will be convenient to use the following short-hand notation:
  1. $\int d123$ instead of $d {{\vec p}_1} d {{\vec p}_2} d {{\vec p}_3}$,
  2. $\delta_{1+2+3}$ instead of $\delta({\vec p}_1+{\vec p}_2+{\vec p}_3)$,
  3. $\Pi_{i}$ and $\Phi_i$ instead of $\Pi_{{\bf p_i}}$ and $\Phi_{{\bf p_i}}$.
Then the last formula can be written in a more compact form:
$\displaystyle {\cal H}_{\rm nonlinear} = \frac{1}{2}\int d123 \delta_{1+2+3} \l...
...^2}{g^2}
\frac{{\vec k}_2\cdot{\vec k}_3}{k_2^2 k_3^2}\Pi_1\Pi_2\Pi_3 -
\right.$      
$\displaystyle \left. 2 \frac{N^2 f
}{g}\frac{{\vec k}_2\cdot{\vec k}_3^{{\perp}}}{k_3^2}\Pi_1\Phi_2\Pi_3\right)$      

The canonical equations of motions ([*]) form a pair of real equations. Their Fourier transformation gives a pair of two complex equations, yet not independent. To reduce this pair to one complex equation, one performs the transformation

$\displaystyle \phi_{\vec p}=\frac{i}{\sqrt{2}\sqrt{f_{\vec p}}}
\left(a_{\vec p}-
a^*_{-{\vec p}}\right)\, ,$      
$\displaystyle \Pi_{\vec p}=\frac{\sqrt{f_{\vec p}}}{\sqrt{2}}\left(a_{\vec p}+a^*_{-{\vec p}}\right)\, .$      

Here $f_{\vec p}$ is a real, positive, even, and otherwise arbitrary function.

This transformation turns the pair of canonical equation of motion ([*]) into a single equation for the complex variable $a_{\vec p}$:

\begin{displaymath}
i\frac{\partial}{\partial t} a_{\bf p} =
\frac{\partial {{\cal H}}}{\partial a_{\bf p}^*} \, .
\end{displaymath} (34)

The following choice of $f_{\vec p}$

\begin{displaymath}f_{\vec p}= \sqrt{\frac{ g k^2 }{N^2} \left(\frac{N^2 f ^2}{g k^2} +
\frac{g}{\rho_0^2 m^2}\right) ^{-1} }\end{displaymath}

diagonalizes the quadratic part of a Hamiltonian, bringing it to the following form:

\begin{displaymath}{{\cal H}_{linear}}=\int \omega_{\vec p}\, \vert a_{\vec p}\vert^2 \, d {\vec p},\end{displaymath}

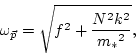
where $\omega_{\vec p}$ is the dispersion relation for linear internal waves in isopycnal coordinates:
\begin{displaymath}
\omega_{\vec p}=\sqrt{ f ^2+\frac{g^2 k^2 }{\rho_0^2 m^2 N^2}}.
\end{displaymath} (35)

(In the more familiar Eulerian framework, the dispersion relation transforms into

\begin{displaymath}
\omega_{\vec p}=\sqrt{ f ^2+\frac{N^2 k^2 }{{m_*}^2}},
\end{displaymath}

where $m_*$, the vertical wavenumber in $z$ coordinates, is given by $m_* = -\frac{g}{\rho_0 N^2} m$ .)

With such a choice of $f_{p}$ the transformations ([*]) take the following form:

$\displaystyle \phi_{\vec p}=\frac{i N \sqrt{\omega_{\vec p}}}{\sqrt{2 g}k}
\left(a_{\vec p}-
a^*_{-{\vec p}}\right)\, ,$      
$\displaystyle \Pi_{\vec p}=\frac{\sqrt{g} k}{\sqrt{2\omega_{\vec p}}N}\left(a_{\vec p}+a^*_{-{\vec p}}\right)\, .$      

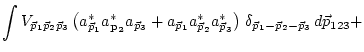
In terms of $a_{\vec k}$, the Hamiltonian ([*]) reads
$\displaystyle { {\cal H}}=\int \omega_p \, \vert a_{{\vec p}}\vert^2 \, d {{\vec p}} +$      
$\displaystyle \int
V_{ {{\vec p}_1} {{\vec p}_2} {{\vec p}_3}} \left( a_{{\vec ...
...t)\,
\delta_{ {{\vec p}_1} -{{\vec p}_2} - {{\vec p}_3}} \, d{{\vec p}}_{123} +$      
$\displaystyle \int
U_{ {{\vec p}_1} {{\vec p}_2} {{\vec p}_3}} \left( a_{{\vec ...
...) \,
\delta_{ {{\vec p}_1} + {{\vec p}_2} +{{\vec p}_3}}\, d {{\vec p}}_{123} .$      

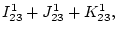
This is a standard three-wave Hamiltonian of wave turbulence theory. The calculation of the interaction coefficients is a straightforward task, yielding
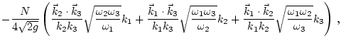
$\displaystyle V^1_{23}$ $\textstyle =$ $\displaystyle I^1_{23}+J^1_{23}+K^1_{23},$  
$\displaystyle I^1_{23}$ $\textstyle =$ $\displaystyle -\frac{N}{4\sqrt{2 g}}
\left(
\frac{{\vec k}_2\cdot{\vec k}_3}{k_...
...ot{\vec k}_2}{k_1 k_2}\sqrt{\frac{\omega_1 \omega_2}{\omega_3}} k_3
\right)\, ,$  
$\displaystyle J^1_{23}$ $\textstyle =$ $\displaystyle \frac{N f ^2}{4\sqrt{ 2 g \ \omega_1 \omega_2 \omega_3} }\left(
\...
...k}_3}{k_1 k_3}{k_2}
-\frac{{\vec k}_1\cdot{\vec k}_2}{k_1 k_2}{k_3}
\right)\, ,$  
$\displaystyle K^1_{23}$ $\textstyle =$ $\displaystyle \frac{i f N}{\sqrt{2 g}}\frac{{\vec k}_2\cdot{\vec k}_3^{{\perp}}...
...2^2-k_3^2) +
\sqrt{\frac{\omega_3}{\omega_1\omega_2}}(k_2^2-k_1^2)
\right) \, ,$  

where we have used the fact that $\vec{k_1} = \vec{k_2} + \vec{k_3}$.

We would like to point out that the field equation ([*]) with the three-wave Hamiltonian ([*],[*],[*]) are equivalent to the primitive equations of motion for internal waves ([*]) (up to the hydrostatic balance and Boussinesq approximation); whereas the work reviewed in [10] instead resorted to a small displacement approximation to arrive at similar equations. We will argue elsewhere that this extra hypothesis, when combined with an assumption of separation of scales, leads to the questions of formal validity of small amplitude expansion observed in ([10]). Furthermore, our approach explicitly preserves all the symmetries of the original primitive equations, like mass, energy and potential vorticity conservation, as well as incompressibility, whereas Lagrangian approaches based on small-displacement expansion can only maintain approximate conservation of these symmetries.

Following wave turbulence theory, one proposes a perturbation expansion in the amplitude of the nonlinearity. This expansion gives to leading order, linear waves. Then one allows the amplitude of the waves to be slowly modulated by resonant nonlinear interactions. This modulation is described by an approximate kinetic equation [34] for the ``number of waves'' or wave-action $n_{\bf p}$, defined by

\begin{displaymath}n_{\bf p} \delta({\bf p} - {\bf p'}) = \langle a_{\bf p}^* a_{\bf
p'}\rangle \, .\end{displaymath}

This kinetic equation is the classical analog of the Boltzmann collision integral. The basic ideas for writing down the kinetic equation to describe how weakly interacting waves share their energies go back to Peierls. The modern theory has its origin in the works of Hasselmann [35,36], Benney and Saffmann [37], Kadomtsev [38], Zakharov [31,39,34], and Benney and Newell [40,41]. The derivation of kinetic equations using the wave turbulence formalism can be found, for instance, in [34,42]. For the three-wave Hamiltonian ([*]), the kinetic equation reads:
$\displaystyle \frac{d n_{\bf p}}{dt} = \pi \int
\vert V_{p p_1 p_2}\vert^2 \, f...
...omega_{{\bf p}}
-\omega_{{\bf {p_1}}}-\omega_{{\bf {p_2}}}}
d {\bf p}_{12} \, ,$      
$\displaystyle -2\pi\int
\, \vert V_{p_1 p p_2}\vert^2\, f_{1p2}\, \delta_{{{\bf...
...bf p_1}} -\omega_{{\bf {p}}}-\omega_{{\bf {p_2}}}}}\Big)
\, d {\bf p}_{12} \, ,$     (36)

where $ f_{p12} = n_{{\bf p_1}}n_{{\bf p_2}} -
n_{{\bf p}}(n_{{\bf p_1}}+n_{{\bf p_2}}) \, .
$

Assuming horizontal isotropy, one can average ([*]) over all horizontal angles, obtaining

$\displaystyle \frac{d n_p}{d t}
= \frac{1}{k}\int
\left(R^k_{12} - R^1_{k2} - R^2_{1k} \right) \,
d k_1 d k_2 d m_1 d m_2 \, ,$      
$\displaystyle R^k_{12}=\Delta^{-1}_{k 1 2} \,
\delta(\omega_{p}-\omega_{p_1}-\o...
...p_2}) \,
f^k_{12} \, \vert V^k_{12}\vert^2 \, \delta_{m-m_1-m_2} k k_1 k_2
\, ,$      
$\displaystyle \Delta^{-1}_{k 1 2} = \left< \delta({\bf k}-{\bf
k_1}-{\bf k_2})\...
...t>\equiv \int \delta({\bf
k}-{\bf k_1}-{\bf k_2}) \, d \theta_1 d \theta_2 \, ,$      
$\displaystyle \Delta _{k 1 2} = \frac{1}{2}\sqrt{
2 \left( (k k_1)^2 +(k k_2)^2 +(k_1 k_2)^2
\right)-k^4-k_1^4 -k_2^4} \, .$     (37)


next up previous
Next: The High Frequency Limit Up: A Hamiltonian Formulation for Previous: Nonlinear Internal Waves in
Dr Yuri V Lvov 2007-01-17