Next: Linear Shallow Waters in
Up: Hamiltonian formalism for long
Previous: Nonlinear, Non-Rotating Shallow Waters
The non-dimensional equations of motion for long internal waves in an
incompressible, stratified fluid with hydrostatic balance, are given
by
where
and
are the horizontal and vertical components of
the velocity respectively,
is the pressure,
the density,
the horizontal gradient operator,
and
is the Lagrangian derivative following a particle.
Changing to isopycnal coordinates (
) , where the roles of
the vertical coordinate
and the density
as independent and
dependent variables are reversed, the equations become:
Here
is the horizontal component of the velocity
field,
is the gradient operator
along isopycnals,
, and
is the Montgomery potential [30],
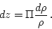
For flows which are irrotational along isopycnal
surfaces, we introduce the velocity potential
Such a
substitution allows us to integrate (
) once
and eliminate
, after which these equations reduce to the pair
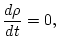
where we have introduced the variable
This variable
has at least two physical interpretations. One is
that of density in isopycnal coordinates, since
The other is that of a measure of the stratification, namely the
relative distance between neighboring isopycnal surfaces, since this
distance
is given by
Notice the similarity between (
) and the equations
(
) for nonlinear shallow waters. Internal
wave equations could be viewed as a system of infinitely many, coupled
shallow water equations. This analogy allows us to identify a natural
Hamiltonian structure for internal waves.
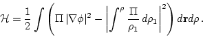
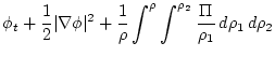
The variable
is also the canonical conjugate of
,
 |
(9) |
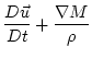
under the Hamiltonian flow given by
 |
(10) |
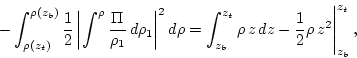
The first term in this Hamiltonian clearly corresponds to the kinetic
energy of the flow; that the second term is in fact the potential
energy follows from the simple calculation
so
where
and
stand for bottom and top respectively, and the
boundary conditions are usually such that the integrated term at the
end is a constant.
Next: Linear Shallow Waters in
Up: Hamiltonian formalism for long
Previous: Nonlinear, Non-Rotating Shallow Waters
Dr Yuri V Lvov
2007-01-17