next up previous
Next: Nonlinear, Non-Rotating, Internal Waves Up: Hamiltonian formalism for long Previous: Linear, Non-Rotating Shallow Waters

Nonlinear, Non-Rotating Shallow Waters

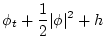
For the fully nonlinear shallow-water equations in ([*], [*]), waves and vorticity no longer decouple (in fact, the nonlinear interaction of waves and vorticity is among the main theoretical obstacles to a full description of turbulence.) However, it is still true that a flow which starts irrotational stays so forever. Hence we may restrict ourselves to considering this scenario, introduce again the scalar potential $\phi$, and rewrite ([*], [*]) in the form

$\displaystyle h_t + \nabla \cdot (h \nabla \phi)$ $\textstyle =$ $\displaystyle 0\, ,$  
$\displaystyle \phi_t +
\frac{1}{2} \vert\phi\vert^2 + h$ $\textstyle =$ $\displaystyle 0\, .$  

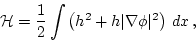
This system is also Hamiltonian, with
\begin{displaymath}
{\cal H}= \frac{1}{2}\int
\left( h^2 + h \vert\nabla\phi\vert^2 \right) \,
dx \, ,
\end{displaymath} (8)

and canonical equations
$\displaystyle h_t$ $\textstyle =$ $\displaystyle \frac{\delta {\cal H}}{\delta \phi} \, ,$  
$\displaystyle \phi_t$ $\textstyle =$ $\displaystyle - \frac{\delta {\cal H}}{\delta h} \, .$  

In this case, the Hamiltonian is the sum of the potential and kinetic energy, without qualifications.


next up previous
Next: Nonlinear, Non-Rotating, Internal Waves Up: Hamiltonian formalism for long Previous: Linear, Non-Rotating Shallow Waters
Dr Yuri V Lvov 2007-01-17