Next: Statistical description
Up: Noisy spectra, long correlations,
Previous: Random phases vs Gaussian
Consider weakly nonlinear dispersive waves in a periodic box.
Here we consider quadratic nonlinearity and the linear dispersion
relations
which allow three-wave interactions. Example of
such systems include surface capillary waves [4] and
internal waves in the ocean [9]. In Fourier space, the general
form for the Hamiltonian systems with quadratic nonlinearity looks as
follows,
where
is the complex wave amplitude in the interaction representation,
,
is the box side length,
for 2D, or
in 3D, (similar for
and
),
and
is the wave linear dispersion relation. Here,
is an interaction coefficient and
is
introduced as a formal small nonlinearity parameter.
In order to filter out fast oscillations at the wave period, let us
seek for the solution at time
such that
. The second condition ensures that
is a lot
less than the nonlinear evolution time. Now let us use a perturbation
expansion in small
,
Substituting this expansion in (2) we get in
the zeroth order
,
i.e. the zeroth order term is time independent. This corresponds to
the fact that the interaction representation wave amplitudes are
constant in the linear approximation. For simplicity, we will write
, understanding that a quantity is taken at
if its time argument is not mentioned explicitly. The first order is
given by
 |
|
|
|
 |
|
|
(3) |
where
Here we have taken into account that
and
.
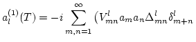
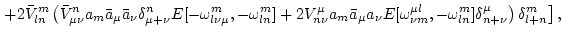
To calculate the second iterate, write
We now have to substitute (3) into
(4) and integrate over time to obtain
-------------------------------------
-----------------------------------
--
where we used
and introduced
Next: Statistical description
Up: Noisy spectra, long correlations,
Previous: Random phases vs Gaussian
Dr Yuri V Lvov
2007-04-11