next up previous
Next: Bibliography Up: Stages of Energy Transfer Previous: Conclusion

Acknowledgements

The authors would like to thank David Cai and Gregor Kovacic for helpful discussions. JAB is supported by an NSF VIGRE postdoctoral research fellowship DMS 9983646, PRK is supported by an NSF grant DMS-A11271, and YVL is partially supported by NSF Career grant DMS 0134955 and ONR YIP grant N000140210528.
Figure 1: Temporal evolution of spatial FPU energy spectrum versus mode frequency for an ensemble of experiments on a lattice of length $ N = 512 $. Subsequent spectra are shifted upward for ease of viewing. Times are, initial (thick line), $t= 50, 100, 200, 400, 1000, 2500, 5000, 10^4$. Intermediate times show an inverse cascade whereas late times clearly show a knee, above which energy decays rapidly.
\includegraphics[width=3in]{fig1.epsi}

Figure 2: Temporal evolution of spatial FPU energy spectrum with lattice length $ N = 512 $. Subsequent spectra are shifted upward for ease of viewing. Times are, initial (thick line), $t=10^3,2\times 10^3,4\times 10^3,8\times 10^3, 2\times 10^4,5\times 10^4,10^5$ A narrower initial spectrum yields a more pronounced inverse cascade at intermediate times. At late times high wavenumbers begin to acquire more energy.
\includegraphics[width=3in]{fig2.epsi}

Figure: $\log_{10}(n_{\mathrm{eff}}(t)/N)$ versus time for lattice lengths $N=32, 64, 128, 256, 1024, 2048, 4096$, $\epsilon = 0.1$. The simulations with large lattice length lie along one another in confirmation of the universal scaling predictions (9) and (10). Lattices with $N\le 128$ show some mild quasi-periodicity whereas the simulation $N=32$ clearly shows the quasi-periodic behavior of the original FPU simulations [#!ef:snp!#].
\includegraphics[width=3in]{fig5.epsi}

Figure: Knee width, $\log_{10}(k_{\mathrm{knee}})$ versus $\log_{10}(\epsilon)$ for $ N = 512 $ and initial data chosen at half the predicted knee width. The line represents the scaling law $ k_{\mathrm{knee}}= 1.5 \epsilon^{1/2} N$.
\includegraphics[width=3in]{fig3.epsi}

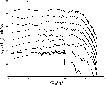
Figure: Time to three-wave equilibrium, $\log_{10}(T_{3})$ versus $\log_{10}(\epsilon)$ for $ N = 512 $ and initial data chosen at half the predicted knee width. The line represents the scaling law $ T_3 = 2.5 \varepsilon ^{-3/2} $.
\includegraphics[width=3in]{fig4.epsi}


next up previous
Next: Bibliography Up: Stages of Energy Transfer Previous: Conclusion
Dr Yuri V Lvov 2007-01-17