next up previous
Next: Bibliography Up: text Previous: Figure Captions

Appendix. Diagrams

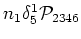
In this section we present simple diagrams which can help one to visualize the definition of cumulants. These diagrams are only meant as an aid to visualize the correlation contribution and should not be confused with other diagrams such as Feymann diagrams. The following pictures are intended to illustrate the ways to factorize $N_{1234}$, $N_{123456}$ and $N_{12345678}$. Let us denote by square boxes operator averages according to (2.9), so that two connected arrows present $ \rho $ (2 operator expectation value), and


\begin{picture}(54,6)(0,0)
\put(1,3){\makebox(0,0){$N_{1234}=$}}
\put(6,2){\vect...
...4$}}
\put(23,5){\makebox(0,0){$1$}}
\put(23,1){\makebox(0,0){$2$}}
\end{picture}

Let us present cumulants in the form of vertices, with incoming arrows representing the arguments of annihilation operators, and the outgoing the arguments of creation operators. Then the second order cumulant (which is the same as the two operator average) is represented by two arrows:


\begin{picture}(54,6)(0,0)
\put(31,3){\makebox(0,0){$ \rho _1\delta ^1_2=$}}
% p...
...
\put(42,4.4){\makebox(0,0){$1$}}
\put(42,1.5){\makebox(0,0){$ $}}
\end{picture}

The fourth order cumulant is represented by four arrows:

\begin{picture}(54,6)(0,0)
\put(31,3){\makebox(0,0){${{\cal{P}}}_{1234}=$}}
\put...
...
\put(42,4.4){\makebox(0,0){$1$}}
\put(42,1.5){\makebox(0,0){$2$}}
\end{picture}

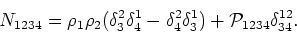
so that the definition of fourth order cumulant ${{\cal{P}}}_{1234}$ is

\begin{displaymath}
N_{1234}= \rho _1 \rho _2 (\delta^{2}_{3}\delta^{1}_{4}-
\delta^{2}_{4}\delta^{1}_{3})+{{\cal{P}}}_{1234}\delta ^{12}_{34}.
\end{displaymath} (9.1)

This partition can be represented graphically as


\begin{picture}(54,6)(10,8)
\put(0,2){\vector(1,0){6}}
\put(0,4){\vector(1,0){6}...
...
\put(52,4.4){\makebox(0,0){$3$}}
\put(52,1.5){\makebox(0,0){$4$}}
\end{picture}
Because of the commutation relations (2.1), if we interchange two indices corresponding to two creation or two annihilation operators, the average should change its sign, for example: $N_{1234}=-N_{2134}$. The definitions of cumulants should not contradict this property, so each product of lower order cumulants should be either positive or negative, depending upon whether it corresponds to an odd or even permutation. This explains the negative sign in from of $ \rho _1 \rho _2\delta^{2}_{4}\delta^{1}_{3}$ term in (9.1). Similarly, the definition of the sixth order cumulant ${{{\cal Q}}}_{123456}$ is

$\displaystyle N_{123456}= \rho _1 \rho _2 \rho _3 \cdot \left( \right. \delta ^...
...\delta ^{1}_{5}\delta ^{2}_{4}- \delta ^{1}_{4}\delta ^{2}_{5}) \left. \right)+$      
$\displaystyle \rho _3[+{{\cal{P}}}_{1256}\delta ^{3}_{4}\delta ^{12}_{56}-{{\ca...
...\delta ^{1}_{6}\delta ^{23}_{45}]\cr+ {{{\cal Q}}}_{123456}\delta ^{123}_{456}.$     (9.2)

This partition can be represented as


\begin{picture}(54,8)(13,16)
\par
\put(0,2){\vector(1,0){6}}
\put(0,4){\vector(1...
...5$}}
\put(65,1){\makebox(0,0){$4$}}
\put(67,4){\makebox(0,0){$+$}}
\end{picture}


\begin{picture}(54,8)(13,22)
\put(19,4){\makebox(0,0){$+$}}
\par
%1
\put(21,8){\...
...}}
\put(57.3,1){\makebox(0,0){$6$}}
\put(59,4){\makebox(0,0){$-$}}
\end{picture}


\begin{picture}(54,8)(13,28)
\put(19,4){\makebox(0,0){$-$}}
%1
\put(21,8){\vecto...
...
\put(59.3,3){\makebox(0,0){$4$}}
\put(59.3,0){\makebox(0,0){$5$}}
\end{picture}
cm Again, because of the commutation relations (2.1), if we interchange two indices corresponding to two creation or two annihilation operators, the average should change its sign, for example: $N_{123456}=-N_{213456}$. The picture below illustrates a simple algorithm of counting the parity of permutation by counting the number of crossing between lines connecting different arguments. In the example below, one sees that the parity of $n_1\delta ^1_5{{\cal{P}}}_{2346}$ term in the expansion of $N_{123456}$ is odd (because of the odd number of crossings), so the product is negative.


\begin{picture}(54,3)(0,0)
% put(39.25,3)\{ vector(1,-1)\{3\}\}
% put(42,1.5)\{ ...
...e( 0,-1){1}}
\put(1,1){\line( 3, 0){4}}
\put(5,1){\line( 0,-1){1}}
\end{picture}
In the same manner, the definition of ${{{\cal Q}}}_{12345678}$

$\displaystyle N_{12345678}$ $\textstyle =$ $\displaystyle \rho _1 \rho _2 \rho _3 \rho _4
(\delta ^{4}_{5}\delta ^{3}_{6}\delta ^{2}_{7}\delta ^{1}_{8}+...)\cr$ (9.3)

can be presented as cm
\begin{picture}(54,10)(0,0)
\put(0,2){\vector(1,0){6}}
\put(0,4){\vector(1,0){6}...
...$}}
\put(65,3){\makebox(0,0){$7$}} \put(65,-1){\makebox(0,0){$8$}}
\end{picture}
Because of the large amount of terms in this case, we show only schematically the factorization of $N_{1'2'3'4'5'6'7'8'}$. One has to choose all possible permutations of indices, corresponding to different topologies putting ``annihilation'' arguments to the incoming and ``creation'' arguments to the outgoing arrows.
next up previous
Next: Bibliography Up: text Previous: Figure Captions
Dr Yuri V Lvov 2007-01-31