Probelem Statement

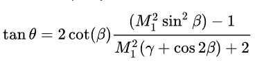
You are given a proprietary new stealth fighter from Lockheed Martin’s Skunkworks on your first day, so you are not aware of it’s complex geometry (which is used to deflect radar to trick it into thinking there are 30 of them flying at the enemy) and it is simplified to you to have an average deflection angle of $\theta = 30$ degrees. Since the design is for the bomber to fly at hypersonic speeds, the Mach Number is taken to be 3.2 and the air is assumed to have a specific heat capacity of $\gamma = 1.4$. Your goal as a young aerospace engineer is to provide your boss with the strong and weak shock wave angles for these conditions so that they can run wind tunnel tests on the bomber by lunch. If the beta angle is greater than 90 or imaginary, the shockwave will detach and the aerodynamic forces may destroy the bomber mid flight. Will this occur?