Next: Hamiltonian Description of Acoustic
Up: Basic equation of motion
Previous: Basic equation of motion
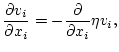
Consider the Euler equations for a compressible fluid:
| |
|
 |
|
| |
|
 |
(23) |
Here
is the Euler fluid velocity,
the density, and
is the pressure which, in the general
case, is a function of fluid density and specific entropy
[
]. In ideal fluids where there is no viscosity and heat
exchange, the entropy per unit volume is carried by the fluid, i.e.
obeys the equation
. A fluid in which the specific entropy is
constant throughout the volume is called barotropic; the pressure in
such fluid is a single-valued function of density
. In
this case,
may be expressed via the gradient of
specific enthalpy of unit mass
and
. Thus,
.
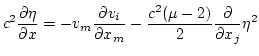
Writing the fluid density
as
, the velocity field as
, the pressure field as
and the enthalpy as
one can write (2.1) to third order in amplitude
in the following form
Let us introduce new variables as
where
,
and
connotes summation over
. From
(2.2) and (2.3),
where the summation is done over all signs of
and we
used the shorthand notation
. The coupling
coefficients are,
These coefficients have the following important properties:
where
. Note that if
,
the resonant manifold is not of codimension
one but degenerates to
, where
,
. There are three cases.
- For
,
,
,
,
.
- For
,
,
.
- For
,
,
,
.
Next: Hamiltonian Description of Acoustic
Up: Basic equation of motion
Previous: Basic equation of motion
Dr Yuri V Lvov
2007-01-17