next up previous
Next: Basic equation of motion Up: Statistical Description of Acoustic Previous: Statistical Description of Acoustic

Introduction and General Discussion

Weak or wave turbulence, which describes the behavior of a spatially homogeneous field of weakly interacting, random dispersive waves, has led to spectacular success in our understanding of spectral energy transfer processes in plasmas, oceans and planetary atmospheres [1]. Furthermore, the subject provides a useful paradigm for helping one think about some of the challenges of fully developed turbulence. First and foremost, the equation for the long time behavior of the spectral cumulants (which are in one to one correspondence with the spectral moments) are closed without making a priori and unjustifiable assumptions on the statistics of the processes (such as the quasi-Gaussian approximation). Second, the kinetic equation, which describes the spectral energy transfer via $n$-wave resonant processes, admits classes of exact equilibrium solutions that can be identified as pure Kolmogorov spectra, namely equilibria for which there is a constant spectral flux of one of the conserved densities (e.g. energy, number density) of the physical process under consideration. By contrast, the thermodynamic equilibria, which have very little relevance in any turbulence theory that must account for a sink at small scales, have zero flux. Third, the theory allows one to glimpse the origin of the intermitency and the breakdown of the conditions under which one can expect relaxation to one of the finite flux Kolmogorov equilibria.

The basic ideas for writing down the kinetic equation to describe how weakly interacting waves share their energies go back to Peierls but the modern theories have their origin in the works of Hasselman [2], Benney and Saffmann [3], Kadomtsev [4], Zakharov [1], Benney and Newell [5,6]. A particularly important event in this history was the discovery of the pure Kolmogorov solution by Zakharov [7]. Usually, the thermodynamic equilibrium solutions can be seen from the kinetic equation by inspection. On the other hand, the solutions, corresponding to pure Kolmogorov spectra are much more subtle and only emerge after one has exploited scaling symmetries of the dispersion relation and the coupling coefficient via what is now called the Zakharov transformation[1].

But success to this point, namely the natural closure, depended crucially on the fact the waves were dispersive. This means that the group velocity is neither constant in amplitude nor direction, or alternatively stated, the dispersion tensor

\begin{displaymath}
D_{\alpha\beta}=\left( \frac{\partial ^2 \omega}
{\partial k...
...ial k_\beta}\right)
,\ \ \ \ \ 0<\alpha, \beta \leq \alpha\ \
\end{displaymath} (1)

has full rank. Here $d$ is the system dimension, Greek letters (here $\alpha$ and $\beta$) denote tensor indices varying from 1 to space dimension $d$, and
\begin{displaymath}
\omega=\omega({\bf k})
\end{displaymath} (2)

is the linear dispersion relation. The reason for closure is slaving. In a field of weakly interacting random dispersive waves, the first step to slaving is achieved by the linear characteristics of the wave trains. Systems, which initially are strongly correlated, are decorrelated because different waves carry statistically independent information from long distances at different speeds and directions. Cumulants of order $N>2$ tend to zero on the fast time scale $\omega^{-1}_{\rm I}$ ( $\omega_{\rm I}$ is a typical frequency at which the energy is injected). The system approaches a state of exact joint Gaussian statistics. The energy at each wavevector remains constant and there is no transfer. But the systems of interest to us are nonlinear and therefore, although the cumulants undergo an initial decay, they are regenerated by the nonlinear terms. In particular, the cumulant of the order $N$ is regenerated both by cumulants of higher order and by and products of lower order cumulants. The second important reason for closure is the following. The important terms in the regeneration of the $N^{\rm th}$ order cumulant are not the terms containing cumulants of order higher then $N$ but rather those terms which are products of lower order cumulants. Important means that even though the nonlinear coupling is weak, the effects of these terms persist over long times because of resonant interaction. Furthermore, the regeneration process takes place on a much longer time scale than does the initial decorrelation process due to wave dispersion. On this long time scale, namely the time taken for triad or quartet (or, as in some rare cases, quintic) resonances to produce order one effects, the system of equations for the cumulant hierarchy becomes closed. If $
\epsilon $ is a typical dimensionless wave amplitude (for acoustic waves it is $\delta\rho /\rho_0$, the ratio of average fluctuation density amplitude to the ambient value) then this time (measured in units of the timescale $\omega_{\rm I}^{-1}$) is $ \epsilon ^{-2}$ for triad resonances and $ \epsilon ^{-4}$ for quartet resonances, although there is an additional frequency correction in the latter case that comes in on the $ \epsilon ^{-2}$ time scale.

Mathematically, these results are obtained by perturbation theory, in which the terms leading to long time cumulative effects can be identified, tabulated and summed. The method closely parallels that of the Dyson-Wyld diagrammatic approach which will be discussed in Section 4. A key part of the analysis is the asymptotic ( $\lim_{t\to \infty}$) evaluation of certain integrals such as

\begin{displaymath}
\int f({\bf k}_r)\Delta\left[\sum_{r=1}^Ns_r\omega({\bf k}_r...
...
\delta\left(\sum_{r=1}^N{\bf k}_r\right )\Pi d {\bf k}_r\,,
\end{displaymath} (3)

where
\begin{displaymath}
{\Delta(h)= \int_0^t dt \exp (i h t) = \frac{\exp (i h t)-1}{i h}}\,,
\end{displaymath} (4)

and $\delta(x)$ is the Dirac delta function. The function $\Delta(h)$ contains the fast (oscillations of the order of $\omega_I^{-1}$) time $t$, whereas the other functions in the integrand, here denoted by $f({\bf k}_r)$, only change over much longer times. The exponent of $\Delta(h)$ is $\sum_1^{N} s_r
\omega({\bf k}_r)$ where $\omega({\bf k}_r)$ is the linear dispersion relation and $s_r$ (often $s_r=\pm 1$) denotes its multiplicity. For example, in acoustic waves, a wavevector $\bf k$ has two frequencies corresponding to waves running parallel and anti-parallel to ${\bf k}$. The maximum contribution to integrals such as (1.3) in the limit of large time $t$ occurs on the so called resonant manifold $M$, where
\begin{displaymath}
\sum_{r=1}^{N} {\bf k}_r = 0 \,,
\qquad
h= \sum_{r=1}^{N}s_r\omega( {\bf k}_r) =0\,,
\end{displaymath} (5)

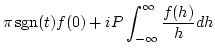
for some choices of the sequence $s_r$. However, the precise form of the asymptotic limit also depends on whether the zeros of $h$ on $M$ are simple or of higher order. For the case of (fully) dispersive waves, such as gravity waves on deep water, Rossby waves, waves of diffraction on optical beams, the zero of $h$ is simple and (for sufficiently smooth $f$) one has
    $\displaystyle \lim_{t\rightarrow \infty} \int_{-\infty}^{\infty}f(h)\frac
{\exp(i h t) -1 } {ih} d h$  
  $\textstyle =$ $\displaystyle \pi\, {\rm sgn} (t) f(0) + i P \int_{-\infty}^{\infty}
\frac{f(h)}{h}d h$ (6)

or schematically,
\begin{displaymath}
\Delta(h)\propto \pi \,{\rm sgn}(t) \delta(h)
+ i P(\frac{1}{h}),
\end{displaymath} (7)

where $P$ denotes Cauchy principal value. In these cases, the integrand in the kinetic equation, the equation describing the resonant transfer of spectral density, contains products of energy densities and the Dirac delta-functions $\delta(\sum_1^N{s_r\omega({\bf
k}_r)})$ and $\delta (\sum_1^N {\bf k}_r)$ clearly indicating that spectral energy transfer takes place on the resonant manifold $M$. The asymptotic equations for the change of the higher order cumulants can be interpreted as a complex frequency modification whose real part describes the expected nonlinear shift in frequency and whose imaginary part describes a broadening of the resonant manifold along its normal directions.

But acoustic waves are not fully dispersive. The linear dispersion relation,

\begin{displaymath}
{\omega({\bf k})=c\vert k\vert=c\sqrt{{k_{\parallel }^2+k_{\perp}^2}}\,,
\quad {{\bf k}}
= (k_{\parallel},k_{\perp})}
\end{displaymath} (8)

where $c$ is the sound speed, leads to a dispersion tensor which has rank $(d-1)$. As we will see, this changes the asymptotic. Furthermore, three wave resonances occur between wavevectors which are purely collinear. Therefore, since the kinetic equation (KE) only considers wave interaction on the resonant manifold, there is no way of redistributing energy out of a given direction. At best, the KE will only describe spectral energy transfer along rays in wavevector space. Moreover, depending on dimension $d$, the long time behavior of the integrals (1.4) differ greatly. For a given vector $\bf k$, the locus of the resonant partners ${\bf k}_1$ and ${\bf k} - {\bf
k}_1$ in a resonant triad is given by the surface in ${\bf k}_1$ space defined by
\begin{displaymath}
h({\bf k}_1)= s_1 k_1 + s_2 \vert k - k_1\vert - s \vert k\vert =0\ .
\end{displaymath} (9)

Here $s,s_1,s_2=\pm 1$. For $d=1$ and the appropriate choices of the wave directions $s_1,\ s_2$ and $s$, this manifold is all ${\bf k}_1$. Therefore the fast oscillations in the integral are of no consequence and do not cause any decorrelation to occur. All waves moving in the same directions travel with the same speed. Initial correlations are completely preserved. Moreover, we know that for one dimensional compressible flow, nonlinear terms, no matter how weak initially, eventually lead to finite time multivalued solutions. Assuming the usual viscous regularization, multivalued solutions are replaced by shocks, namely almost discontinuous solutions where discontinuities are resolved across very thin viscous layers. One would naturally expect an energy spectrum $E_1(k)$ which reflects this fact, namely
\begin{displaymath}
E_1(k)\propto 1/k^2\ .
\end{displaymath} (10)

In two dimensions, one has dispersion (diffraction) in one direction. Indeed, for $d>1$, while
\begin{displaymath}
\nabla_{{\bf k}_1} h = 0
\end{displaymath} (11)

on the manifold $M$, the Hessian of $h({\bf k}_1)$ is not identically zero. In two dimensions, the integral (1.4) behaves as
\begin{displaymath}
\int f(x) \frac{\exp (i x^2 t) -1 }{ i x^2} d x \propto 2 t \int f(x)
\exp (i x^2 t) d x,
\end{displaymath} (12)

which grows as $t^{1/2}$ as $t\rightarrow \infty$. In three dimensions, the growth is much weaker. Since that is the case we will look at in detail, we give the exact result. Let
$\displaystyle {\bf k}$ $\textstyle =$ $\displaystyle (K>0,0,0)\,,\ {\bf k}_1
= (K_x,K_y,K_z)\,,$  
$\displaystyle {\bf k}_2$ $\textstyle =$ $\displaystyle (K - K_x, -K_y, -K_z)\ .$  

Then, for $s_1=s_2=s,$
$\displaystyle h$ $\textstyle =$ $\displaystyle c(s_1 \vert{\bf k}_1\vert+s_2\vert{\bf k} - {\bf k}_1\vert- s K )$ (13)
  $\textstyle =$ $\displaystyle \frac{s K c }{ 2 K_x (K - K_x)}(K_y^2+K_z^2)+O(K_y^3, K_y^2K_z,
\dots)$  

near the resonant value $(K,0,0)$. The integral

\begin{displaymath}
\int_{-\infty}^{\infty} f(K_x, K_y, K_z;s_1, s_2) \frac{e^{i h t} -
1}{ i h } d K_x d K_y d K_z
\end{displaymath}

tends to
    $\displaystyle {\alpha} \int_{-\infty}^{0}f(K_x,0,0;-s,s)(-K_x)(K-K_x)d K_x$  
  $\textstyle +$ $\displaystyle {\alpha} \int_{0}^{K} f(K_x,0,0;s,s)K_x(K-K_x)d K_x$  
  $\textstyle +$ $\displaystyle {\alpha} \int_{K}^{\infty}f(K_x,0,0;s,-s)K_x(K_x-K)d K_x$ (14)
  $\textstyle -$ $\displaystyle \frac{ 2 i{\alpha} s }{\pi}\log t \int_{-\infty}^{0}
f(K_x,0,0,;-s,s)K_x(K-K_x)d K_x$  
  $\textstyle -$ $\displaystyle \frac{2 i {\alpha} s}{\pi}\log t\int_0^K
f(K_x,0,0;s,s)K_x(K-K_x)d K_x$  
  $\textstyle -$ $\displaystyle \frac{2 i {\alpha} s }{\pi}\log t \int_{K}^\infty
f(K_x,0,0;s,-s)K_x(K-K_x)
d K_x$  

in the limit $t\rightarrow \infty$. Here $\alpha=\pi^2/ K c $ and we have kept only the leading order real and imaginary contributions. The essential difference with (1.6) and (1.7) is the additional Dirac delta function multiplied by $\log t$ in the imaginary term. This will not change the kinetic equation for the spectral energy density. If we write the total energy per unit volume $E$ as
\begin{displaymath}
E= 2 \rho_0 c^2 \epsilon ^2 \int e({\bf k}) d {\bf k}
\end{displaymath} (15)

where $\rho_0$ is the ambient density and $
\epsilon $ a measure of amplitude, then
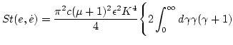
    $\displaystyle \frac{d e ({\bf k})}{ d t } = St(e,\dot{e})$  
    $\displaystyle St(e,\dot{e})=
\frac{ \pi^2 c (\mu+1)^2
\epsilon ^2 K^4}{4}
\Bigg\{2\int^\infty_0 d \gamma \gamma ( \gamma+1)$  
  $\textstyle \times$ $\displaystyle \Big[ e( \gamma{\bf k})e(( \gamma+1){\bf k})
+ \gamma e({\bf k}) e(( \gamma+1){\bf k})$  
  $\textstyle -$ $\displaystyle ( \gamma+1)e({\bf k})e( \gamma {\bf k})\Big]
+\int_0^1d k \alpha(1-\alpha)\Big[ e({\alpha} k) e((1-\alpha){\bf k})$  
  $\textstyle -$ $\displaystyle {\alpha} e({\bf k})e((1-\alpha){\bf k})
-(1-\alpha)e(k)e({\alpha} {\bf k}) \Big] \Bigg\}$ (16)

where $\mu$ is the adiabatic constant [ $p=p_0(\rho/\rho_0)^\mu$] and $\vert{\bf k}\vert=K$. In $d$ dimensions a little calculation show, that the RHS of (1.16) has the $t$ dependence $t^{\frac{3-d}{2}}$ so that in general the nonlinear interaction time $\tau_{NL}$ for the resonant exchange of spectral energy is $\epsilon^2 t^{\frac{5-d}{2}}=O(1)$ or $\tau_{NL}\propto \epsilon^{-\frac{4}{5-d}}$. (Note that for $d\ge 5$, there is no cumulative effect of this resonance.)

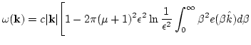
While the extra term in (1.14) proportional to $i \log t$ plays no role in the spectral energy transfer, it will, however, appear in the frequency modification. Calculating the long time behavior of the higher order cumulants leads to a natural re-normalization of the frequency,

    $\displaystyle \omega({\bf k})= c \vert{\bf k}\vert \Bigg[1-2 \pi (\mu+1)^2 \epsilon ^2
\ln{\frac{1}{ \epsilon ^2}}
\int_0^\infty\beta^2 e(\beta \hat k) d \beta$  
  $\textstyle +$ $\displaystyle O( \epsilon ^2)\Bigg] +
i \pi ^2 (\mu+1)^2 \epsilon ^2 \Bigg[\int_{\vert{\bf k}\vert
}^{\infty}\beta^2 e(\beta \hat k) d \beta$  
  $\textstyle +$ $\displaystyle \frac{1}{\vert{\bf k}\vert}\int_0^{\vert {\bf k}\vert }
\beta^3 e...
...+ \vert k\vert \int_0^{\vert{\bf k}\vert } \beta e(\beta \hat k) d \beta
\Bigg]$ (17)

where $\hat k = {\bf k}/{K}$. The calculation of the frequency re-normalization is the new result of this paper. We present two derivations of this result, in the framework of the above analysis and making use of a diagrammatic perturbation approach.

The equation (1.16) is nothing but a ``regular" kinetic equation for the three-wave interactions, written in a dispersionless limit $\omega = c \vert{\bf k}\vert$. In this case three wave resonant conditions

$\displaystyle \pm \omega({\bf k})=\pm\omega({\bf k_1})\pm\omega({\bf k_2})\ \ \ \ \
{\bf k}={\bf k_1}+{\bf k_2}$     (18)

can be satisfied if and only if all three vectors $ {\bf k}, {\bf k_1}, {\bf
k_2}$ are parallel, as a result, the integration over ${\bf k_1},{\bf
k_2}$ is along line parallel to $\bf k$. It is unclear a priori that the three wave kinetic equation can be used in the dispersionless case; is certainly less plausible in the two dimensional case where the formal implementation of the kinetic equation leads to stronger divergences.

The derivation presented above is taken from the article of Newell and Aucoin [9], who made the first serious attempt of an analytical description of the dispersionless acoustic turbulence.

Newell and Aucoin [9] also argued that a natural asymptotic closure also obtains in two dimensions because of the relative higher asymptotic growth rates of terms in the kinetic equation involving only the spectral energy, but this is still a point of dispute, is not yet resolved and will not be addressed further here.

Independently the kinetic equation (1.16) was applied to acoustic turbulence by Zakharov and Sagdeev [8] who used it just as a plausible hypothesis. However, Zakharov and Sagdeev also suggested an explicit expression for the spectrum of acoustic turbulence

\begin{displaymath}e(k)\propto k^{-3/2}
\end{displaymath} (19)

which is just a Kolmogorov-type spectrum, first obtained by Kolmogorov from dimensional considerations in the context of hydrodynamic turbulence. Here, however, the (1.19) is an exact solution of the equation
\begin{displaymath}St(e,\dot{e})=0.
\end{displaymath} (20)

The proof of this fact can be found in the [1]. One should also mention, that the quantum kinetic equation applied to a description of a system of weakly interacting dispersionless phonons were done as long ago as in 1937 by Landau and Rumer ([10]).

Kadomtsev and Petviashvili [11] criticized this result on the grounds that the kinetic equation is in the dispersionless case can hardly be justified because of the special nature of the linear dispersion relation. They suggested that acoustic turbulence in two and three dimensions was much more likely to have parallels with its analogue in one dimension. We have already mentioned in that case that the usual statistical description is inadequate both because there is no decorrelation dynamics and because shocks form no matter how weak the nonlinearity initially is. The equilibrium statistics relevant in that case is much more likely to be a random distribution of discontinuities in the density and velocity fields which lead to an energy distribution of (1.10). Further, Kadomtsev and Petviashvili argued that even in two and three dimensions one would expect the same result, namely

\begin{displaymath}k^{d-1}e({\bf k})\propto k^{-2}
\end{displaymath} (21)

a random distribution of statistically independent shocks propagating in all directions.

But wave packets traveling in almost parallel directions are not independent. Consider a solid angle containing $N=(k_{\parallel}/k_{\perp})^{d-1}$ wavepackets with wavevectors $(k_{\parallel},k_\perp)$ where $k_{\parallel}= l^{-1}$ is a typical length scale of the fluctuating field in the direction of the propagation, and $k_\perp \ll k_\parallel$. The shock time $\tau_{\rm
sh}$ for a single wave packet would be $l\sqrt{{\rho}N/E}
\propto(l/c\epsilon)N^{(1/2)}$, where $E$ is the total energy in the field. The dispersion (diffraction) time $\tau_{\rm disp}$, namely the time over which several different packets have time to interact linearly, is of the order of $k_{\parallel}/(c k^2_{\perp})\propto l
N^{2/(d-1)}/c$. As we have already observed, the nonlinear resonance interaction time $\tau_{NL}$ for spectral energy transfer is $(l/c)\epsilon^{-({4}/({5-d}))}$. The ration is $\tau_{disp}:\tau_{sh}:\tau_{NL}=N^{{2}/({d-1})}:N^{{1}/{2}}
\epsilon^{-1}:\epsilon^{-{4}/({5-d})}$. In the limits $N\to\infty,\,\,\, \epsilon\to 0$, the shock time is sandwiched between the linear dispersion time and nonlinear interaction time and, if we choose $N(\epsilon)$ by equating the first two, all three are the same. Moreover, the phase mixing which occurs due to the crossing of acoustic wave beams, occurs on a shorter time scale, a fact that suggests that the resonant exchange of energy is the more important process. But even then, several very important questions remain.

  1. To what distribution does the energy along a given wavevector ray relax?
  2. How does energy become shared between neighboring rays?
  3. Does energy tend to diffuse away from the ray with maximum energy or can it focus onto that ray? In the latter case, one might argue that shock formation may again become the relevant process especially if the energy should condense on rays with very different directions.

The aim of this paper is to take a very modest first step in the direction of answering these questions. In particular, we present a curious result. The fact that there is a strong ( $ \epsilon ^2 \ln 1/ \epsilon ^2$) correction to the frequency leads us to ask if that terms could provide the dispersion required to allow the usual triad resonance process carry energy between neighboring rays. At first sight, it would appear that that is indeed the case, that the modified nonlinear dispersion law is

\begin{displaymath}
\omega({\bf k})= c({\bf k} ) ( 1 + \epsilon ^2 \ln{\frac{1}{ \epsilon ^2}
\Omega(k)})
\end{displaymath} (22)

where $\Omega$ is proportional to $\vert{\bf k}\vert$. But a surprising and nontrivial cancellation occurs which means that the first corrections to the wave speed still keeps the system non dispersive in the propagation direction.

While this fact is the principal new result of this paper, our approach lays the foundation for a systematic evaluation of the contribution to energy exchange that occurs at higher order. Indeed, we expect that some of the terms found by Benney and Newell [5] involving gradients across resonant manifolds which, in the fully dispersive case, are not relevant because the resonant three wave interaction gives rise to an isotropic distribution, may be more important in this context.

The paper is written as follows. In the next Section, we derive the equation of motion for acoustic waves of small but finite amplitude. A second approach discussed in Subsect. 2B starts from the Hamiltonian formulation of the Euler equations and again makes use of the small amplitude parameter of the problem to simplify the interaction Hamiltonian. As we will see in Subsect. 2C both approaches are equivalent and which approach to use is the question of taste.

Next, in Section 3 we write down the hierarchy of equations for the spectral cumulants and solve them perturbatively. Certain resonances manifest themselves as algebraic and logarithmic time growth in the formal perturbation expansions and mean that these expansions are not uniformly asymptotic in time. The kinetic equation, describing the long time behavior of the zeroth order spectral energy, and the equations describing the long time behavior of the zeroth order higher cumulants are simply conditions that effectively sum the effect of the unbounded growth terms. Under this renormalization, the perturbation series becomes asymptotically uniform. By asymptotically uniform, we mean that the asymptotic expansion for each of the cumulants remains an asymptotic expansion over long times. All unbounded growths are removed. While this procedure in principle requires one to identify and calculate unbounded terms to all orders, in practice one gains a very good approximation by demanding uniform asymptotic behavior only to that order in the coupling coefficient where the unboundedness first appears.

In other words this means that if one finds that if the first two terms of the asymptotic expansion are $1+ \epsilon ^2 t \psi_1+ ...$, then the effective removal of $\psi_1$ will remove all terms which are powers of $( \epsilon ^2 t)$ in the full expansion. Likewise, it also assumes that there appear no worse secular terms at a higher order, such as for example $ \epsilon ^4 t^3 \psi_2$. To achieve uniformity, one requires an intimate knowledge of how unbounded growth appears. This sort of perturbative analysis was first done in the thirties by Dyson. A technical innovation was to use graph notations, called diagrams, for representing lengthy analytical expressions for high order terms in the perturbation series. It often happens that one can find the principal subsequence of terms just by looking on the topological structure of corresponding diagrams. This method of treating perturbation approaches is called the diagrammatic technique.

The first variant of diagrammatic technique for non-equilibrium processes was suggested by Wyld[12] in the context of the Naiver Stokes equation for an incompressible fluid. This technique was later generalized by Martin, Siggia and Rose [13], who demonstrated that it may be used to investigate the fluctuation effects in the low-frequency dynamics of any condensed matter system. In fact this technique is also a classical limit of the Keldysh diagrammatic technique [14] which is applicable to any physical system described by interacting Fermi and Bose fields. Zakharov and L'vov [15] extended the Wyld technique to the statistical description of Hamiltonian nonlinear-wave fields, including hydrodynamic turbulence in the Clebsch variables [16]. In section 4, we will use this particular method for treating acoustic turbulence.

Note that in such a formulation, unbounded growths appear as divergences (or almost divergences) due to the presence of zero denominators caused by resonances, the very same resonances, in fact, that give rise to unbounded growth in our more straightforward perturbation approach. Moreover, diagrammatic techniques are schematic methods for identifying all problem terms and for adding them up. If one uses the diagram technique only to the first order at which the first divergences appear, this is called the one-loop approximation and is equivalent to identifying the first long time nonlinear effects. This is exactly analogous to what we will do in our first approach in this paper although we will also display the diagram technique. The one loop approximation will give the same long time behavior of the system for times of $\tau_{NL}$ defined earlier. In Appendix C we analyze two loop diagrams and show that some of them gives the same order contribution to $\gamma_k$ as two loop diagrams. Nevertheless one may believe, that even one-loop approximation gives qualitatively correct description of the dynamics of the system.

The last Section 5 is devoted to some concluding remarks and the identification of the remaining challenges. We now begin with deriving the basic equations of motion for weak acoustic turbulence.


next up previous
Next: Basic equation of motion Up: Statistical Description of Acoustic Previous: Statistical Description of Acoustic
Dr Yuri V Lvov 2007-01-17