Next: Appendix 2
Up: Joint statistics of amplitudes
Previous: Discussion
Let us obtain
in terms of the series in small nonlinearity
up to the second order in
.
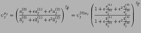
As an intermediate step, we first consider
separately the amplitude and the phase ingredients of
and
substitute the
-expansion of
from (8) into
their expressions,
and
where
and
denote the
linear and quadratic contributions into the amplitude and phase parts of
respectively,
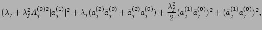
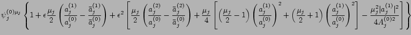
Substituting expansions (64) and (65) into the
expression for
, we have
For parts
and
in the above expression we have,
Exploiting the
property
we can write
 |
(69) |
At
we have for
![\begin{displaymath}
X(T) = X(0) + (2 \pi)^{2N} \left<\prod_{\Vert l\Vert<N}
e^{...
...^2}[{\epsilon}J_1 +{\epsilon}^2(J_2 +J_3+J_4+J_5)] \right>_A,
\end{displaymath}](img429.png) |
(70) |
where
where
and
denote
the averaging over the initial amplitudes and initial phases
respectively. We remind that such individual averages are possible
because the amplitudes and the phases are statistically independent
from each other at
.
Next: Appendix 2
Up: Joint statistics of amplitudes
Previous: Discussion
Dr Yuri V Lvov
2007-01-17