Next: Numerical Simulation of Relaxation
Up: Stages of Energy Transfer
Previous: Introduction
Fermi-Pasta-Ulam Model
The Fermi-Pasta-Ulam (FPU) model is a model for a one-dimensional
collection of particles with
massless, weakly anharmonic (nonlinear) springs connecting them to each other.
Letting
and
denote the
position and momentum coordinates of an
-particle chain, we can
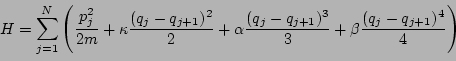
define the FPU model Hamiltonian:
 |
(1) |
Here we assumed periodic boundary conditions
and
. Equivalently, the beads are connected in a circular
arrangement. The parameter
denotes the particle mass, while
,
, and
are coefficients involving the
spring properties.
The equations of motion are the standard Hamilton's equations:
 |
(2) |
We will here focus on the
-FPU model
for which
and the quartic
term is absent (
). We nondimensionalize the system
with respect to the spring constant
, the mass
, and the
energy density
. Retaining
the original symbols for the nondimensionalized variables
and
,
we obtain the nondimensionalized Hamiltonian and equations of motion:
Our choice of nondimensionalization implies that
 |
(4) |
for all times.
The fundamental nondimensional parameter measuring the strength of the
nonlinearity is
In order to study the transfer of energy among different scales, we
represent the system in terms of Fourier modes:
 |
|
|
|
 |
|
|
(5) |
The
Hamiltonian in the new variables reads
where the dispersion relation is given by
 |
(7) |
the nonlinear coupling coefficients are
 |
(8) |
and
is a periodized version of the Kronecker delta function.
To quantify the amplitude of activity of the FPU chain at different
scales, we define the harmonic energy contribution of each Fourier
mode:
Energy equipartition implies
is independent of
(and
). The total harmonic contribution to the energy is
Next: Numerical Simulation of Relaxation
Up: Stages of Energy Transfer
Previous: Introduction
Dr Yuri V Lvov
2007-01-17