next up previous
Next: Bibliography

Hamiltonian formalism and the Garrett-Munk spectrum of internal waves in the ocean

Yuri V. Lvov[]

Esteban G.Tabak []

Hamiltonian formalism and the Garrett-Munk spectrum of internal waves in the ocean

Yuri V. Lvov[]

[]   Department of Mathematical Sciences, Rensselaer Polytechnic Institute, Troy, NY 12180
[]   Courant Institute of Mathematical Sciences, New York University, New York, NY 10012.
This paper first appeared at PRL Vol 87, page 168501, 2001
and contained some misprints corrected below

Esteban G.Tabak []

Abstract:

Wave turbulence formalism for long internal waves in a stratified fluid is developed, based on a natural Hamiltonian description. A kinetic equation appropriate for the description of spectral energy transfer is derived, and its self-similar stationary solution corresponding to a direct cascade of energy toward the short scales is found. This solution is very close to the high wavenumber limit of the Garrett-Munk spectrum of long internal waves in the ocean. In fact, a small modification of the Garrett-Munk formalism includes a spectrum consistent with the one predicted by wave turbulence.

Introduction.-- Remarkably, the internal wave spectrum in the deep ocean has much the same shape wherever it is observed, except when the observations are made close to a strong source of internal waves [1]. This observation led Garrett and Munk [2,3,4] to propose an analytical form of the internal wave spectrum that approximates many observations. This spectrum is now called the Garrett-Munk (GM) spectra of internal waves. The total energy of the internal waves may be represented as an integral over spectral energy density[*]

$\displaystyle E=\int E({\bf k},m) \, d { k} \, d m \, ,$     (1)

where ${k}$ and $m$ are the horizontal and vertical components of the wavevector respectively. Under the assumption of horizontal isotropy, Garrett and Munk proposed the following empirical expression for the spectral energy density:
$\displaystyle E(k,m)= \frac{2\, f \, N \, E \,
m/m^*}{\pi \left(1+\frac{m}{m^*}\right)^{5/2} \left(N^2 k^2 + f^2
m^2\right)} \, .$     (2)

Here $E$ is a constant, quantifying the total energy content of the internal wave spectrum, $f$ is the Coriolis parameter, $N$ is the buoyancy frequency, $k=\vert{\bf k}\vert$, and $m^*$ is a reference vertical wavenumber to be determined from observations.

The dispersion relation underlying this proposed spectrum is that of long internal waves, with a profile rapidly oscillating in the vertical, so that both the hydrostatic balance and the WKB approximation apply:

\begin{displaymath}
\omega^2 = f^2 + N^2 \left({k}/{m} \right)^2 \, .
\end{displaymath} (3)

Using this dispersion relation, the spectrum can be transformed from wave-number space $(k,m)$ into frequency-horizontal wavenumber space $(k,\omega)$, or frequency-vertical wave number space $(m,\omega)$. In particular, the integral of $E(k,\omega)$ over $k$ -or equivalently, the integral of $E(m,\omega)$ over $m$- yields the moored spectrum
\begin{displaymath}
E(\omega) =
{2\, f\, E}\left(
{\pi \left(1-({f}/{\omega})^2\right)^{1/2}\omega^2}
\right)^{-1}
\, ,
\end{displaymath} (4)

with an $1/\omega^2$ dependence away from the inertial frequency that appears prominently in moored observations.

The GM spectrum constitutes an invaluable tool for oceanographers, assimilating hundreds of different observations into a single, simple formula, that clarifies the distribution of the energy contents of internal waves among spatial and temporal scales. Yet a number of questions regarding the spectrum itself remain open. One is about its accuracy: Garrett and Munk basically made up a family of spectra, depending on a few parameters, that was simple and consistent with the dispersion relation (3) for long internal waves; and then fitted the parameters to match observational data. Their success speaks of their powerful intuition, yet it leaves the door open to question both the accuracy of the parameter fit, and the appropriateness of the proposed family of spectra, necessarily incomplete, which involved a high degree of arbitrariness. The other question, more fundamental to theorists, is to explain or derive the form of the spectrum from first principles. Such explanation should surely involve the nonlinear interaction among internal modes, as well as the nature of the forcing and dissipation acting on the system.

In this work, we elucidate which spectrum the theory of wave turbulence (WT) would predict for internal waves in scales far away from both the forcing and the dissipation. Wave turbulence theory (also called weak turbulence, to contrast it to the ``strong'' turbulence of isotropic fluids) applies to Hamiltonian systems characterized by a scale separation between a fast, linear dispersive wave structure, and its slow, nonlinear modulation.

In what follows we assume that there is pumping of energy into the internal wave field by the wind, by interaction with surface waves, or by other processes. We assume that these pumping processes can be characterized by wavelengths of the order of hundreds of meters. Moreover, we assume that the processes which remove energy from the internal wave field, such as wave breaking, turbulent mixing, multiple reflections from the surface and bottom boundary layers, or interaction with bottom topography, can be characterized by lengthscales of less than a meter. Then there is a region of lengthscales, called inertial interval or transparency region, where dissipation and pumping processes are not important. It is the nonlinear wave interaction which determines the form of the spectrum in the region of transparency. Energy then gets into the system of internal waves at large scales, cascades through the inertial scales via multiple nonlinear interactions, and is absorbed in the small scales by the dissipation processes. This scenario corresponds to the Kolmogorov spectrum of WT theory [5]. According to WT, the energy distribution in the inertial region is defined solely by the nature of nonlinear interactions and by the linear dispersion relation of the waves in the system.

Notice that, in the transparency region, the dispersion relation is self-similar, since $\vert\omega\vert >> f$. When this is the case, and the nonlinearity is homogeneous, WT theory predicts self-similar stationary solutions. For $\vert m\vert >> m^*$ and $\vert\omega\vert >> f$, the Garrett-Munk spectrum (2) becomes

\begin{displaymath}
E(k, m) \simeq \left(k^2 m^{3/2}\right)^{-1} \, .
\end{displaymath} (5)

The spectrum we shall obtain below using the WT formalism is, instead,
\begin{displaymath}
E(k, m) \simeq \left( k^{3/2} m^{3/2} \right)^{-1} \, .
\end{displaymath} (6)

The small disparity in the exponents of the Garrett-Munk spectrum and the prediction of WT theory may be attributed either to effects that WT does not capture, such as wave interaction with shear and vorticity and wave breaking, or to inaccuracies of the GM spectrum itself. In the last section of this letter, we introduce a slight modification of GM, which yields the spectrum in (6).

Hamiltonian structure and kinetic equation-- The equations for long internal waves in an incompressible stratified fluid are

$\displaystyle \frac{d {\bf u}}{d t} + \frac{{\bf\nabla} P}{\rho} = 0,$ $\textstyle \ \ \ $ $\displaystyle P_z+\rho g = 0,$  
$\displaystyle \frac{ d \rho}{d t} =0,$ $\textstyle \ \ \ $ $\displaystyle {\bf\nabla}\cdot {\bf u} + w_z = 0 \, ,$  

where ${\bf u}$ and $w$ are the horizontal and vertical components of the velocity respectively, $P$ is the pressure, $\rho$ the density, $g$ the gravity constant, $\nabla = (\partial_x, \partial_y)$ the horizontal gradient operator, and

\begin{displaymath}
\frac{d}{dt} = \frac{\partial}{\partial t} +
{\bf u}\cdot{\bf\nabla} + w \frac{\partial}{\partial z}
\end{displaymath}

is the Lagrangian derivative following a particle. Notice that we are considering waves long enough for the hydrostatic balance to be valid, yet not so long to feel the effects of the rotation of the earth. This is consistent with the scales of the conjectured transparency region described above.

Changing to isopicnal coordinates, where the roles of the vertical coordinate $z$ and the density $\rho$ as independent and dependent variables are reversed, the equations become:

\begin{displaymath}
\frac{\partial {\bf u}}{\partial t} +{\bf u} \cdot \nabla {\...
...abla \cdot \left(z_{\rho} {\bf u} \right)
= 0 \, . \nonumber
\end{displaymath}

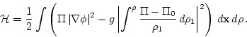
Here $\nabla = (\partial_x, \partial_y)$ is the isopicnal gradient, acting along surfaces of constant density, and $M$ is the Montgomery potential $ M=P+\rho\, z. $ We shall consider flows which are irrotational along isopicnals; for these, it is convenient to introduce a horizontal velocity potential $\phi$, such that $ {\bf u}={\bf\nabla} \phi({\bf x}, \rho, t) \, , $ reducing the equations further to the pair
$\displaystyle \phi_t + \frac{1}{2} \vert\nabla \phi\vert^2 + \frac{g}{\rho}
\int^{\rho}\int^{\rho_2} \frac{\Pi-\Pi_0}{\rho_1} \, d\rho_1 \, d\rho_2$ $\textstyle =$ $\displaystyle 0 \, ,$ (7)
$\displaystyle \Pi_t + \nabla \cdot \left(\Pi\, \nabla \phi \right)$ $\textstyle =$ $\displaystyle 0 \, .$ (8)

Here we have introduced the variable $\Pi = \rho M_{\rho \rho}/g = \rho \,
z_{\rho} $, and, for future convenience, a reference equilibrium value $\Pi_0(\rho) = -g/N^2$, where $N^2=-g \, \rho_0'(z)/\rho_0$ is the square of the buoyancy frequency. The variable $\Pi$, representing the stratification lengthscale, is the canonical conjugate of $\phi$ under the Hamiltonian flow given by
\begin{displaymath}
{\cal H} = \frac{1}{2}\int \left( \Pi \, \vert\nabla \phi\v...
...o_1} \, d\rho_1\right\vert^2 \right)\,
d{\bf x} \, d\rho \, .
\end{displaymath} (9)

The first term in this Hamiltonian clearly corresponds to the kinetic energy of the flow; that the second term is in fact the potential energy follows from the simple calculation
$\displaystyle \frac{1}{2} \left\vert\int^{\rho} \frac{\Pi-\Pi_0}{\rho_1} \, d\r...
...ht\vert^2
d\rho =
\frac{1}{2} \left\vert\int^{z} (dz-dz_0)\right\vert^2 d\rho
=$      
$\displaystyle \frac{1}{2} (z-z_0)^2 d\rho = - \rho \, (z-z_0) \, dz +
d \left(\frac{1}{2} \rho\, (z-z_0)^2 \right) \, ,$     (10)

so that the second term in (9) is simply $
g\int \rho \, (z-z_0) \, dz \, .$ The equations of motion (7, 8) can be written in terms of the Hamiltonian (9) in the canonical form
\begin{displaymath}
\Pi_t=\frac{\delta {\cal H}}{\delta \phi},
\ \ \ \ \ \ \
\phi_t=-\frac{\delta {\cal H}}{\delta \Pi} \, .
\end{displaymath} (11)

For simplicity, we shall take the buoyancy frequency $N$ of the equilibrium profile to be a constant, and we shall replace the density $\rho$ in the denominator of the Hamiltonian's potential energy by a constant $\rho_0$. This is the WKB -also Boussinesq- approximation, which makes sense for waves varying rapidly in the vertical direction, particularly since the water density typically changes only by a few percent over the full depth of the ocean.

Let us decompose $\Pi$ into the sum of its equilibrium value and deviation from equilibrium $\Pi=\Pi_0+\Pi' \, .$ Since, in the WKB limit, the linear part of the resulting Hamiltonian has constant coefficients, it is natural to perform a Fourier transformation in both vertical and horizontal directions. We assume that both Fourier spectra are continuous, which is a reasonable approximation if the wave's vertical wavelengths are much smaller than the depth of the ocean. Then

$\displaystyle {\cal H}=\int \left(-\frac{g k^2}{2 N^2}\vert\phi_{\bf p}\vert^2 -
\frac{g}{2 \rho_0^2 m^2} \vert \Pi_{\bf p}'\vert^2\right)\, d {\bf p}
-$      
$\displaystyle \frac{1}{(2\pi)^{3/2}}
\int {\bf k_2}\cdot {\bf k_3} \, \Pi_{\bf ...
...f p_3}^* \, \delta( {\bf p_1} + {\bf p_2}
- {\bf p_3} ) \, d {\bf p}_{123} \, ,$      

where ${\bf p}$ is a three-dimensional wave vector ${\bf p}=\{{\bf k},m \}$ and $ d {\bf p}_{123}\equiv d {\bf p}_{1} d {\bf p}_{2} d {\bf p}_{3}$.

We now introduce a canonical transformation which transfers the equations of motion for the Fourier components $ \phi_{\bf
p}$ and $\Pi_{\bf p}'$ into a single equation for the canonical variable $a_{\bf p}$. We choose this transformation so that the quadratic part of Hamiltonian becomes diagonal in $a_{\bf p}$. The canonical transformation reads:

$\displaystyle \phi_{\bf p}=i\sqrt{\frac{N}{2 \rho_0 m k}}(a_{\bf p}-a_{\bf -p}^...
...\ \Pi'_{\bf p} = \sqrt{\frac{\rho_0 m k}{2 N}}(a_{\bf
p}+a_{\bf -p}^* ), \ \ \ $      

Then the pair of the canonical equations of motion (11) become the single equation
\begin{displaymath}
i\frac{\partial}{\partial t} a_{\bf p} =
\frac{\partial {\cal H}}{\partial a_{\bf p}^*} \, ,
\end{displaymath} (12)

with Hamiltonian
$\displaystyle {\cal H}=\int \omega_p \, \vert a_{\bf p}\vert^2 \, d {\bf p} +$      
$\displaystyle \int
V_{ {\bf p_1} {\bf p_2} {\bf p_3}} \left( a_{\bf p_1}^* a_{\...
...p_3}^*\right)\,
\delta_{ {\bf p_1} + {\bf p_2} - {\bf p_3}} \, d{\bf p}_{123} +$      
$\displaystyle \int
V_{ {\bf p_1} {\bf p_2} {\bf p_3}} \left( a_{\bf p_1}^* a_{\...
...f p_3}\right) \,
\delta_{ {\bf p_1} + {\bf p_2} +{\bf p_3}}\, d {\bf p}_{123} .$      

Here $\omega_{\bf p}$ is the linear dispersion relation for the Hamiltonian (12),

\begin{displaymath}\omega_{\bf p}\equiv \omega_{{\bf k},m} =
\frac{g}{N \rho_0} \frac{k}{\vert m\vert} \, ,\end{displaymath}

and $ V_{ {\bf p_1} {\bf p_2} {\bf p_3}}$ is the internal wave interaction matrix element, given by
$\displaystyle V_{ {\bf p_1} {\bf p_2} {\bf p_3}}=\sqrt{ \vert{\bf k_1}\vert \ve...
...rt \vert{\bf k_2}\vert} \sqrt{\left\vert\frac{m_3}{m_1 m_2}\right\vert}
\right.$      
$\displaystyle \left.
+ \frac{ {\bf
k_1}\cdot{\bf k_3}}{ \vert{\bf k_1}\vert \ve...
...vert{\bf k_3}\vert}
\sqrt{\left\vert\frac{m_1}{m_2 m_3}\right\vert} \right)\, .$      

The form of this Hamiltonian is typical for systems with three-wave interactions and cylindrical symmetry. Following wave turbulence theory, one proposes a perturbation expansion in the amplitude of the nonlinearity. To zeroth order in the perturbation, one recovers the linear waves. At higher orders, the nonlinear interactions lead to a slow modulation of the wave amplitudes, representing spectral transfer of the conserved quantities of the Hamiltonian. This transfer manifests itself in the perturbation expansion through resonances or secular terms, occurring on the so called resonant manifold. Energy transfer is described by an approximate kinetic equation for the ``number of waves'' or wave-action $n_{\bf p}$, defined by

\begin{displaymath}n_{\bf p} \delta({\bf p} - {\bf p'}) = \langle a_{\bf p}^* a_{\bf
p'}\rangle \, .\end{displaymath}

This kinetic equation is the classical analog of the Boltzmann collision integral; it has been used for describibg surface water waves since pioneering works by Hasselmann [6] and Zakharov [7,8]. The derivation of the kinetic equation using the wave turbulence formalism can be found, for instance, in [5]. For the three-wave Hamiltonian (14), the kinetic equation reads:
$\displaystyle \frac{d n_{\bf p}}{dt} = \pi \int
\vert V_{p p_1 p_2}\vert^2 \, f...
...omega_{{\bf p}}
-\omega_{{\bf {p_1}}}-\omega_{{\bf {p_2}}}}
d {\bf p}_{12} \, ,$      
$\displaystyle -2\pi\int
\, \vert V_{p_1 p p_2}\vert^2\, f_{1p2}\, \delta_{{{\bf...
...bf p_1}} -\omega_{{\bf {p}}}-\omega_{{\bf {p_2}}}}}\Big)
\, d {\bf p}_{12} \, ,$     (13)

where $ f_{p12} = n_{{\bf p_1}}n_{{\bf p_2}} -
n_{{\bf p}}(n_{{\bf p_1}}+n_{{\bf p_2}}) \, .
$

Assuming horizontal isotropy, one can average (15) over all horizontal angles, obtaining

$\displaystyle \frac{d n_p}{d t}
= \frac{1}{k}\int
\left(R^k_{12} - R^1_{k2} - R^2_{1k} \right) \,
d k_1 d k_2 d m_1 d m_2 \, ,$      
$\displaystyle R^k_{12}=\Delta^{-1}_{k 1 2} \,
\delta(\omega_{p}-\omega_{p_1}-\o...
...p_2}) \,
f^k_{12} \, \vert V^k_{12}\vert^2 \, \delta_{m-m_1-m_2} k k_1 k_2
\, ,$      
$\displaystyle \Delta^{-1}_{k 1 2} = \left< \delta({\bf k}-{\bf
k_1}-{\bf k_2})\...
...t>\equiv \int \delta({\bf
k}-{\bf k_1}-{\bf k_2}) \, d \theta_1 d \theta_2 \, ,$      
$\displaystyle \Delta _{k 1 2} = \frac{1}{2}\sqrt{
2 \left( (k k_1)^2 +(k k_2)^2 +(k_1 k_2)^2
\right)-k^4-k_1^4 -k_2^4} \, .$     (14)

In wave turbulence theory, three-wave kinetic equations admit two classes of exact stationary solutions: thermodynamic equilibrium and Kolmogorov flux solutions, with the latter corresponding to a direct cascade of energy -or other conserved quantities- toward the higher modes. The fact that the thermodynamic equilibrium -or equipartition of energy- $n_{\bf
p} = 1/\omega_{\bf p}$ is a stationary solution of (16) can be seen by inspection, whereas in order to find Kolmogorov spectra one needs to be more elaborate. Let us assume that $n_{\bf p}$ is given by the power-law anisotropic distribution

\begin{displaymath}
n_{{\bf k},m}= k^x \vert m\vert^y \, .
\end{displaymath} (15)

We will find exponents $x$ and $y$ by requiring that (17) is a stationary solution to (16). We shall use a version of Zakharov's transformation [7,8] introduced for cylindrically symmetrical systems by Kuznetsov in [9]. Let us subject the integration variables in the second term $R^1_{k2}$ in (16) to the following transformation:
$\displaystyle k_1 = {k^2}/{k_1'}, \
m_1={m^2}/{m_1'}, \
k_2 = {k k_2'}/{k_1'}, \ m_2 = {m m_2'}/ {m_1'}.
\nonumber$      

Then $R^1_{k2}$ becomes $R^k_{12}$ multiplied by a factor

\begin{displaymath}{\left(\frac{k_1}{k}
\right)^{-6 - 2 x}
\left(\frac{m}{m_1}
\right)^{2 + 2y}}.\end{displaymath}

Furthermore, let us subject the third term $R^2_{1k}$ in (16) to the following conformal transformation:
$\displaystyle k_1 = {k k_1' }/{k_2'},
\ m_1={m m_1'}/{m_2'},
\
k_2 = {k^2}/{k_2'}, \ m_2 = {m^2}/{m_2'}.$      

Then $R^2_{1k}$ becomes $R^k_{12}$ multiplied by a factor

\begin{displaymath}\left(\frac{k_2}{k}\right)^{-6 - 2 x}
\left(\frac{m}{m_2} \right)^{2 + 2y}.\end{displaymath}

Therefore (16) can be written as
$\displaystyle \frac{d n_{\bf p}}{d t}
= \frac{1}{k}\int R^k_{12} \,
\left(1-
\left(\frac{k_1}{k}\right)^{-6 - 2 x}
\left(\frac{m}{m_1} \right)^{2 + 2y}-\right.$      
$\displaystyle \left.
\left(\frac{k_2}{k}\right)^{-6 - 2 x}
\left(\frac{m}{m_2} \right)^{2 + 2y}
\right) \, d k_1 d k_2 d m_1 d m_2 \, .$     (16)

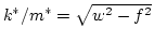
We see that the choice $ -6- 2 x = 2 + 2 y = 1 \, ,$ which gives $x=-{7}/{2}, \ \ \ \ y=-{1}/{2} \, ,$ makes the right-hand side of (16) vanish due to the delta function in the frequencies, corresponding to energy conservation. The resulting wave action and spectral energy distributions are given by
$\displaystyle n_{{\bf k},m}= \vert{\bf k}\vert^{-7/2}
\vert m\vert^{-1/2}, \ \ $     (17)
$\displaystyle E_{{k},m} = k \omega_{{\bf k},m} n_{{\bf k},m}= \vert{\bf
k}\vert^{-3/2} \vert m\vert^{-3/2},$      

This solution, ((6) of the introduction) corresponds to the flux of energy from the large to the small scales.

This is the main result of this article - the short wave part of the Garrett-Munk spectra is close to the stationary solution to a kinetic equation hereby derived for internal waves, based on a Hamiltonian structure appearing naturally in isopicnal coordinates.

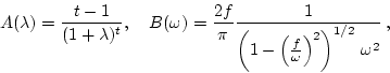
A modified Garrett-Munk spectrum-- In this section, we show how a minor modification of the Munk-Garrett formalism allows us to match the wave turbulence prediction (6). As in [3], we introduce two functions

\begin{displaymath}A(\lambda) = \frac{t-1}{(1+\lambda)^t} , \ \ \
B(\omega) = ...
...left(\frac{f}{\omega}\right)^2\right)^{1/2}
\, \omega^2} \, ,
\end{displaymath}

and a reference, frequency dependent wave vector $(k^*,m^*)$. In [3], $m^*$ was a constant, and $k^*$ was given by $k^*=(w^2-f^2)^{1/2} m^*$. However, the same formalism carries through if one allows both $k^*$ and $m^*$ to depend on $\omega$, provided that the condition $ {k^*}/{m^*} = \sqrt{w^2-f^2} $ is met. In keeping with the spirit of self-similarity, we shall propose that
\begin{displaymath}
k^* = \gamma \left(\omega^2-f^2\right)^{\frac{1-\delta}{2}}...
...^* = \gamma \left(\omega^2-f^2\right)^{-\frac{\delta}{2}} \, ,
\end{displaymath} (18)

where $\delta$, like $t$ and $\gamma$, is a constant to be determined from observations (or, in our case, from wave turbulence theory).

Then, following [3], we propose an energy spectrum of the form

\begin{displaymath}E(k,\omega) = E \, A\left(\frac{k}{k^*}\right) \frac{B(\omega)}{k^*} \,
.\end{displaymath}

It follows from the dispersion relation that we have
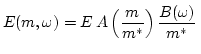
$\displaystyle E(m,\omega) = E \, A\left(\frac{m}{m^*}\right) \frac{B(\omega)}{m^*} \,$     (19)
$\displaystyle E(k,m) = \frac{2 \, f \, N \, E}{\pi}
\frac{(m/m^*) \, A(m/m^*)}{N^2 k^2 + f^2 m^2} \, .$     (20)

If we pick $t=2$ and $\delta=-1/2$, the asymptotic behavior of (22) agrees with the prediction (6) of wave turbulence theory. In [3], $\delta$ was zero by default, and $t=2.5$. Notice that, independently of the choices of $t$ and $\delta$, the moored spectrum is always given by (4).

Conclusion.-- We have found a natural Hamiltonian formulation for long internal waves, and used it within the wave turbulence formalism to determine the stationary energy spectrum corresponding to a direct cascade of energy from the long to the short waves. This spectrum is close to the one that Garrett and Munk fitted to available observational data. The small difference could be due either to physical effects that the wave turbulence formalism fails to capture, or to a real necessary correction to the GM spectrum. We show how a slight modification of the GM spectrum yields results in agreement with WT theory.



next up previous
Next: Bibliography
Dr Yuri V Lvov 2007-01-23